Предмет: Алгебра,
автор: chornolutska01
Ответы
Автор ответа:
0
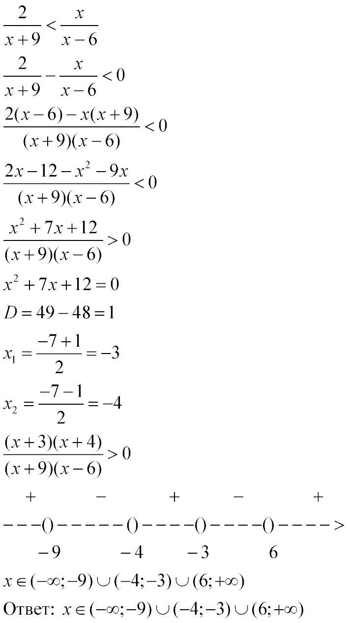
решение и ответ во вложении
Приложения:
Похожие вопросы
Предмет: Русский язык,
автор: kaldybekarailym09
Предмет: Алгебра,
автор: Lipton200
Предмет: Математика,
автор: kirish200878
Предмет: История,
автор: астапенкосаша
Предмет: Литература,
автор: Vikabond1