Предмет: Математика,
автор: sb7423034
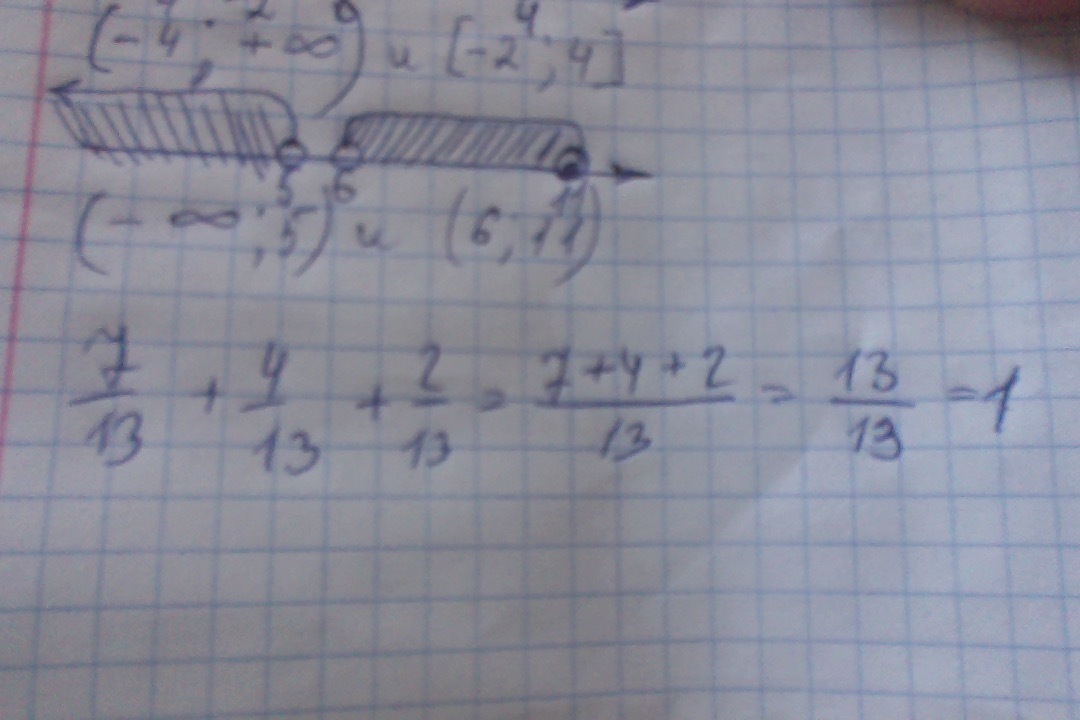
Сложите дроби,полученные дроби сократите 7/13+4/13+2/13
Ответы
Автор ответа:
1
Автор ответа:
0
...............................
Приложения:
Похожие вопросы
Предмет: История,
автор: mogilalubov79
Предмет: Алгебра,
автор: ssasske
Предмет: Английский язык,
автор: evosdi2802
Предмет: История,
автор: Аноним
Предмет: Математика,
автор: света222333