Предмет: Математика,
автор: btsjimin1
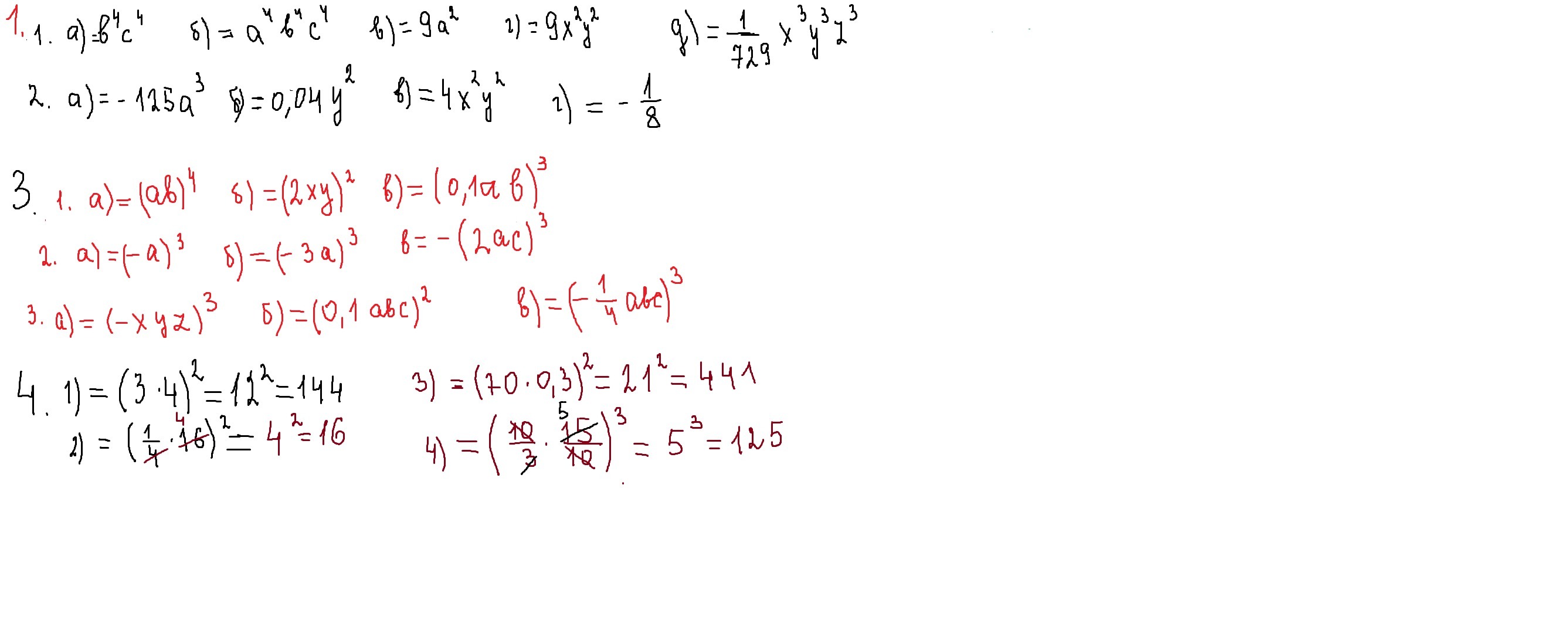
Люди хелп ми плиз, срочно. Хотя бы одно
Приложения:
Ответы
Автор ответа:
1
смотри решение внизу
Приложения:
Похожие вопросы
Предмет: Биология,
автор: alakisel3
Предмет: География,
автор: maaargg
Предмет: Физкультура и спорт,
автор: a11od
Предмет: Химия,
автор: КсеNik