Предмет: Алгебра,
автор: RazORG
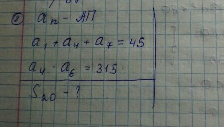
Задание на арифметическую прогрессию
Приложения:
Ответы
Автор ответа:
0
a₁+a₄+a₇=45 a₄*a₆=315 S₂₀-?
a₁+a₁+3d+a₁+6d=45 3a₁+9d=45 |÷3 a₁+3d=15=a₄
a₄*a₆=315 15*a₆=315 |÷15 a₆=21
a₄+a₆=a₁+3d+a₁+5d=15+21 2a₁+8d=36 |÷2 a₁+4d=18=a₅
d=a₅-a₄=18-15=3 ⇒
S₂₀=(2*15+(20-1)*3)*20/2=(30+57)*10=87*10=870.
Ответ: S₂₀=870.
a₁+a₁+3d+a₁+6d=45 3a₁+9d=45 |÷3 a₁+3d=15=a₄
a₄*a₆=315 15*a₆=315 |÷15 a₆=21
a₄+a₆=a₁+3d+a₁+5d=15+21 2a₁+8d=36 |÷2 a₁+4d=18=a₅
d=a₅-a₄=18-15=3 ⇒
S₂₀=(2*15+(20-1)*3)*20/2=(30+57)*10=87*10=870.
Ответ: S₂₀=870.
novokuz:
Решение классное, но с S напутали. S должен быть равен 690.
a₅=18=a₁+4d a₁+4*3=18 a₁=18-12=6 S₂₀=(2*6+(20-1)*3)*20/2=(12+57)*10=69*10=690.
Ответ: S₂₀=690.
Ответ: S₂₀=690.
Автор ответа:
1
Решение задания во вложенном файле.
Приложения:
Похожие вопросы
Предмет: Информатика,
автор: tyrmot
Предмет: История,
автор: igorkataev6075
Предмет: Литература,
автор: tanagrigorak841
Предмет: Математика,
автор: VeronikaNam
Предмет: Физика,
автор: отличница20152