Предмет: Математика,
автор: yoppona
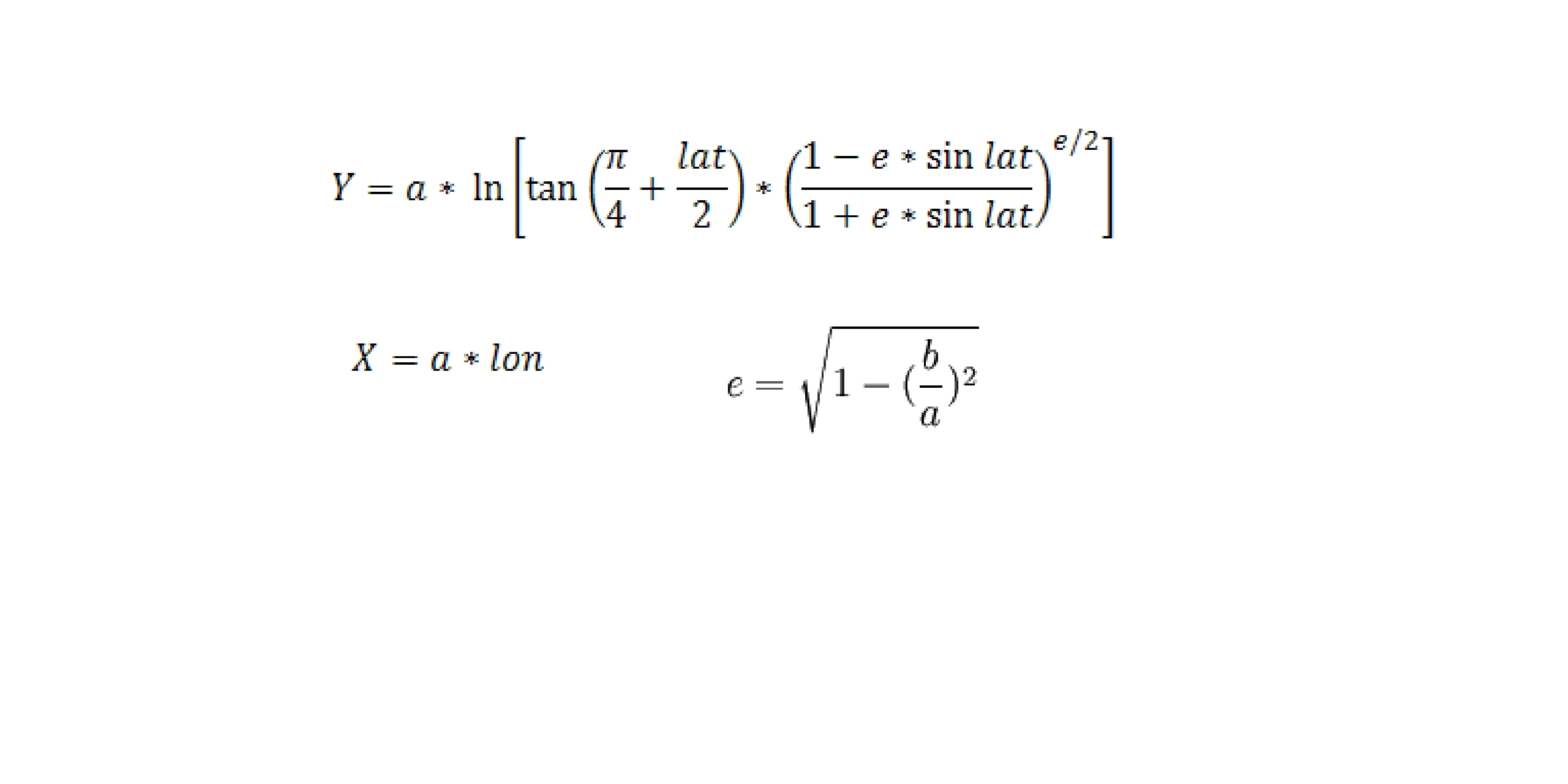
Как выразить Lat из
Приложения:
Ответы
Автор ответа:
0
6 яблок.
.............
.............
48хромосом:
ой не туда
Похожие вопросы
Предмет: Математика,
автор: natashevchen123
Предмет: Русский язык,
автор: viktorl310308
Предмет: Физика,
автор: dianafilatova3063
Предмет: Математика,
автор: bogomolnik75
Предмет: Алгебра,
автор: Мальвинкамандаринка