Предмет: Алгебра,
автор: Ilay861
Пожалуйста решите срочно:упростите выражение
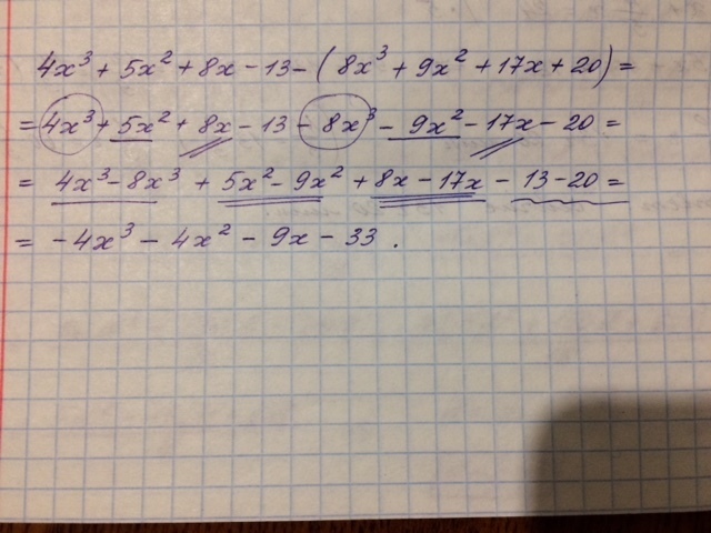
4x^3+5x^2+8x-13-(8x^3+9x^2+17x+20)
Приложения:
Ответы
Автор ответа:
0
Решение на фото) надеюсь правильно и все понятно
Приложения:
novokuz:
Допущена неточность в вычислении: -13-20=-33, а не -23.
спасибо
Насчет неточности да, спасибо, не заметила
Автор ответа:
1
Решение во вложенном файле.
Приложения:
Спасибо огромное ,главно всё понятно
Рада была помочь! :)
Похожие вопросы
Предмет: Математика,
автор: kirin6328
Предмет: Английский язык,
автор: polinacasovskaa3
Предмет: Физика,
автор: fraugdelta
Предмет: Математика,
автор: Adina77710
Предмет: Литература,
автор: looking692193