Предмет: Математика,
автор: andreipantelee
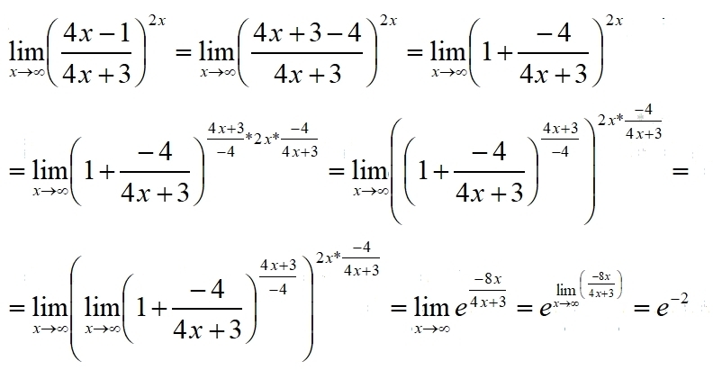
Найти указанный предел
Приложения:
Ответы
Автор ответа:
1
смотри решение во вложении
Приложения:
Похожие вопросы
Предмет: Математика,
автор: Juliiaas
Предмет: Английский язык,
автор: sabinabahyt95
Предмет: Литература,
автор: drepnikov268
Предмет: Математика,
автор: 9615231001
Предмет: Математика,
автор: 78912509