Предмет: Алгебра,
автор: sidorov2000LogB
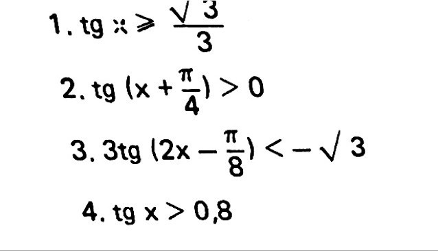
Помогите с домашними заданием
Приложения:
Ответы
Автор ответа:
0
первы ответ 3 второй 0 третий 12 четвертый 17
Похожие вопросы
Предмет: Другие предметы,
автор: sidorovas776
Предмет: Физика,
автор: wty05669
Предмет: Химия,
автор: DashaSisova
Предмет: Информатика,
автор: ШерифLVPD
Предмет: Математика,
автор: yanohchka