Предмет: Алгебра,
автор: sanyalol77
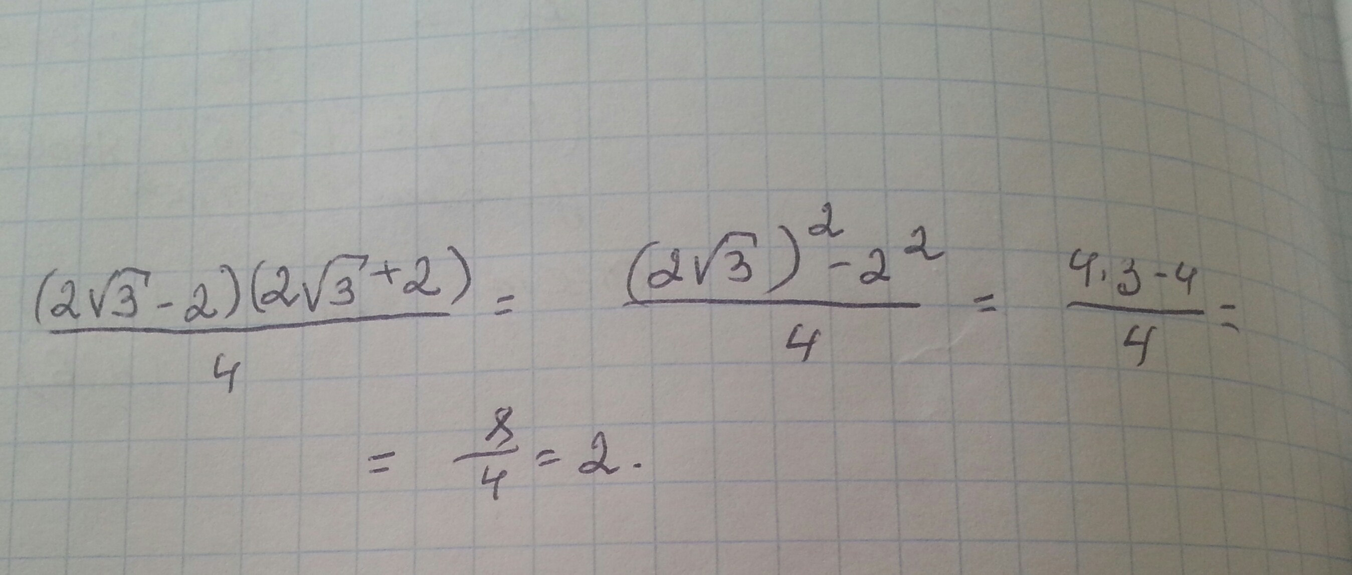
Найдите значение выражения: (2 корень из 3 - 2)(2 корень из 3 +2)/4
Ответы
Автор ответа:
2
Попробуем решить.
///////////
///////////
Приложения:
Похожие вопросы
Предмет: География,
автор: viktoriea921
Предмет: Математика,
автор: Аноним
Предмет: История,
автор: lromanenko729
Предмет: Обществознание,
автор: 525255
Предмет: Математика,
автор: 1232110