Предмет: Алгебра,
автор: Аноним
Чудесенко Теория вероятности, Вариант №2
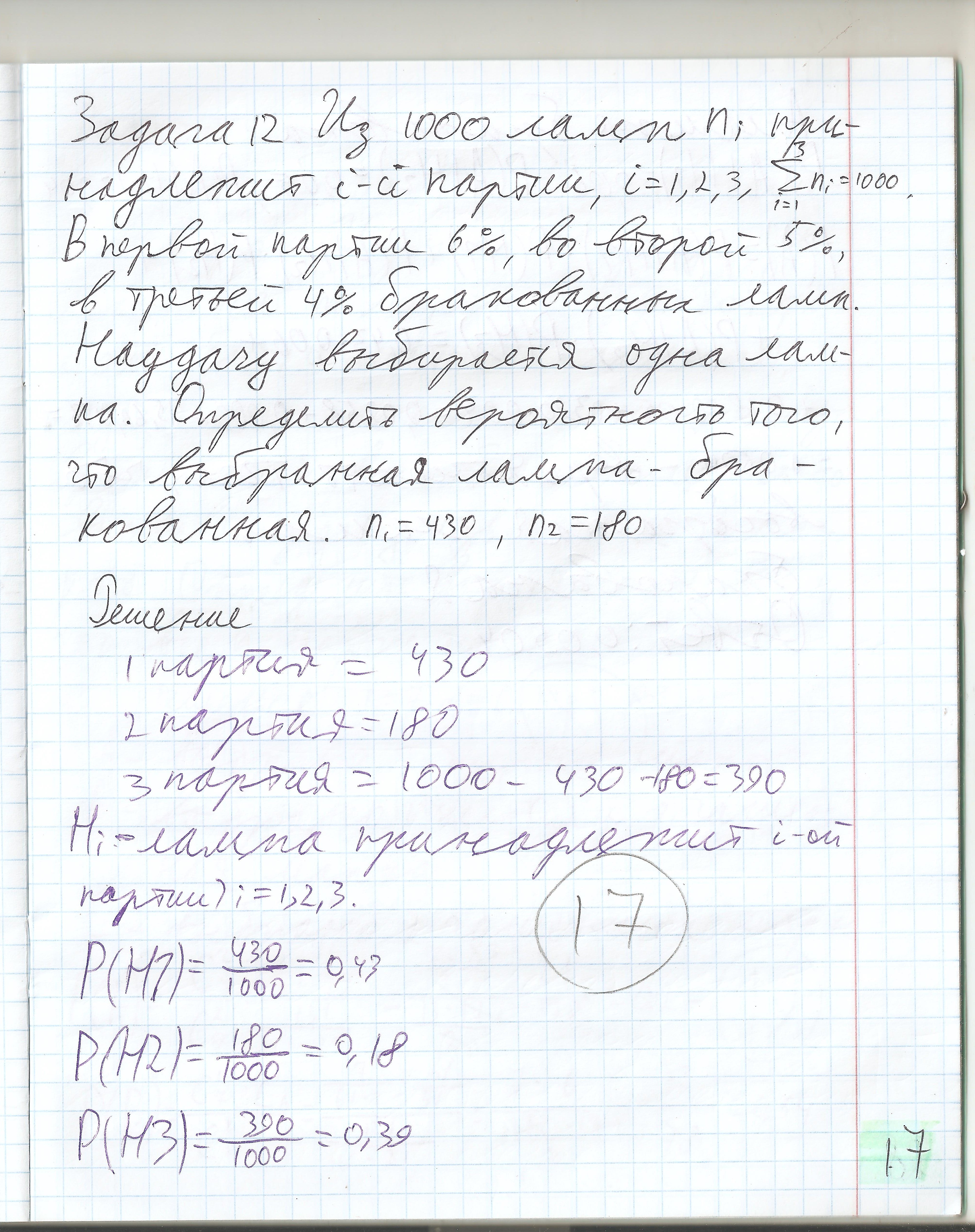
Задача 12. Из 1000 ламп
принадлежат i-и партии, i= 1, 2, 3, ∑
n
= 1000. В первой партии 6%, во второй 5%, в третьей 4% бракованных ламп. Наудачу выбирается одна лампа. Определить вероятность того, что выбранная лампа - бракованная.
= 430,
= 180
Ответы
Автор ответа:
26
Вариант №2 Теория вероятности. Чудесенко В.Ф
Приложения:
Похожие вопросы
Предмет: Литература,
автор: paramonovaalisa825
Предмет: Русский язык,
автор: alyamkinanastya403
Предмет: Русский язык,
автор: Аноним
Предмет: Математика,
автор: zhikin