Предмет: Алгебра,
автор: супермен17
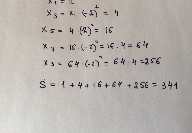
ПОСЛЕДОВАТЕЛЬНОСТЬ х(n)- геометрическая прогрессия.
Найти х1+х3+х5+...+х9
если х1=1 q=-2
Ответы
Автор ответа:
2
Ффффффффффффффффффффффффффффффффффф
Приложения:
tamarabernukho:
Исправила
)ок
Похожие вопросы
Предмет: Математика,
автор: bedenkokira334
Предмет: Информатика,
автор: mehreliev
Предмет: Русский язык,
автор: polakana572
Предмет: Математика,
автор: Lhjg