Предмет: Математика,
автор: Dzagoeva13
Помогите пожалуйста.
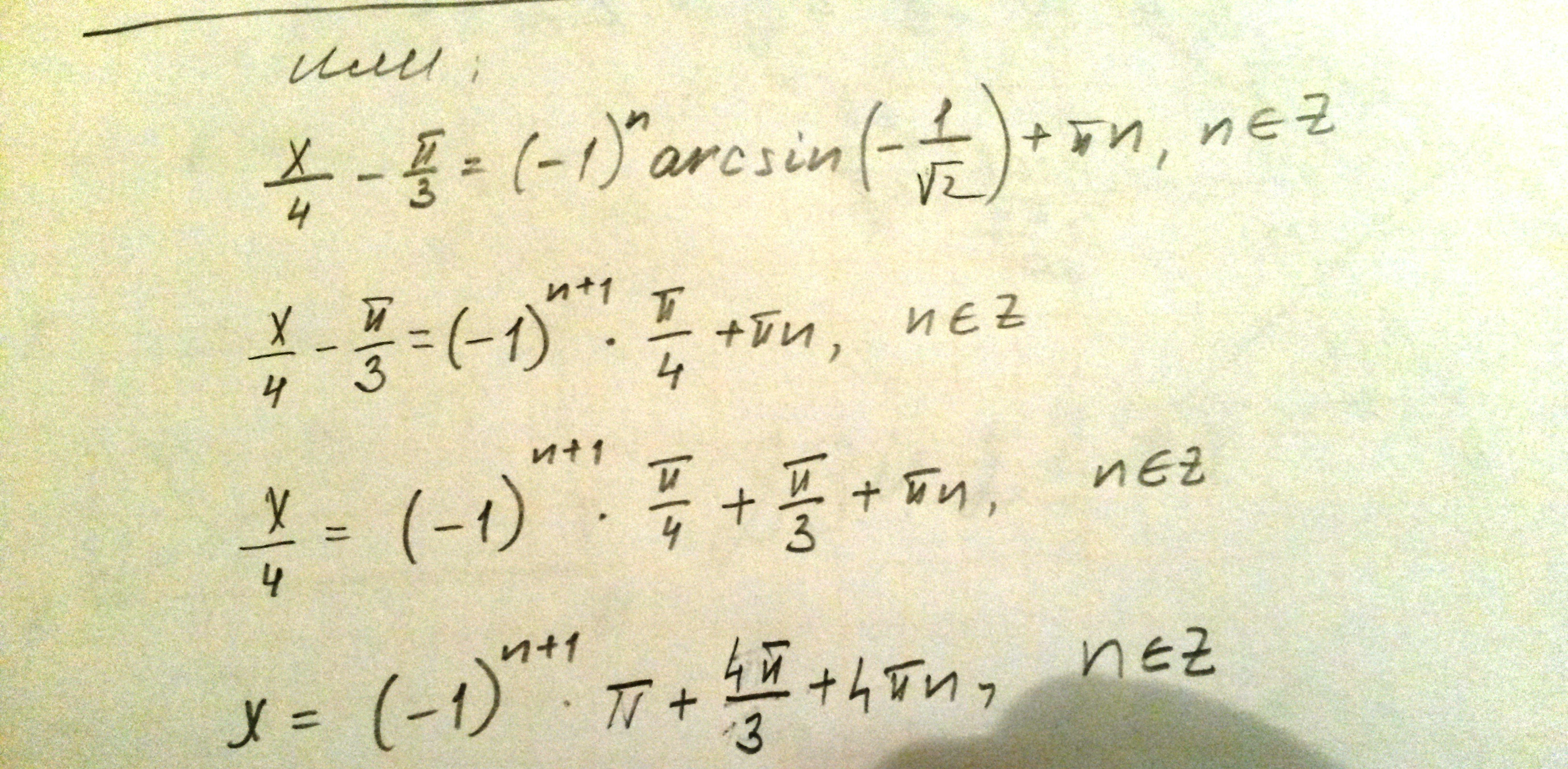
√2sin(x/4-П/3)=-1
МиЛкАААААААААААААААА:
вы прошли арксинусы?
Ответы
Автор ответа:
0
Решение в файле............
Приложения:
я уже решила
ответ получается совсем не такой
ответы могут отличаться в зависимости от способа решения
Похожие вопросы
Предмет: Математика,
автор: Аноним
Предмет: Литература,
автор: tarasenkolera052
Предмет: Қазақ тiлi,
автор: aidynabikeev
Предмет: Математика,
автор: Надежда6661
Предмет: Математика,
автор: AllySalvatore