Предмет: Алгебра,
автор: q13372281488p
Помогите пожалуйста вообще не втыкаю номер 3
Приложения:
Ответы
Автор ответа:
0
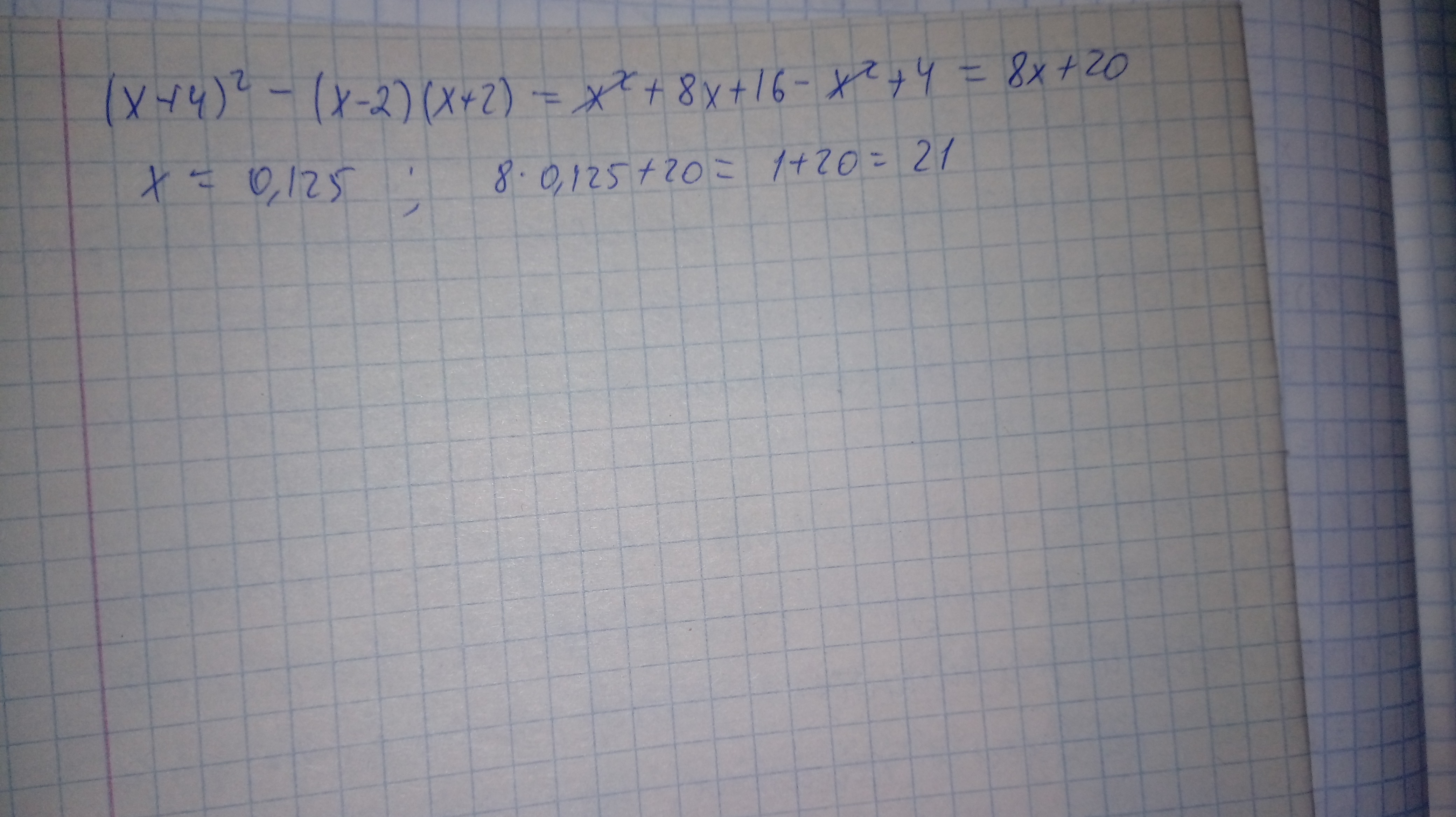
Раскрываешь квадрат и квадрат разности.............................
Приложения:
Похожие вопросы
Предмет: Алгебра,
автор: vova00430
Предмет: Право,
автор: deadpool761
Предмет: Литература,
автор: kuzhlevaangelina
Предмет: Математика,
автор: nazar707
Предмет: Алгебра,
автор: NastyaStolyrova