Предмет: Математика,
автор: kittylike1089
Помогите прошу 463700:50+546*40
55440:90-10460:20
41090:70+11950:50
Нужно расписать по действиям например:5*5-5
1) 5*5=25
2) 25-5=20
Дам 10баллов
Заранее спасибо
Ответы
Автор ответа:
2
463700÷50+546×40
1)463700÷50=9.274
2)546×40=21.840
3)9.274+21.840=31 114
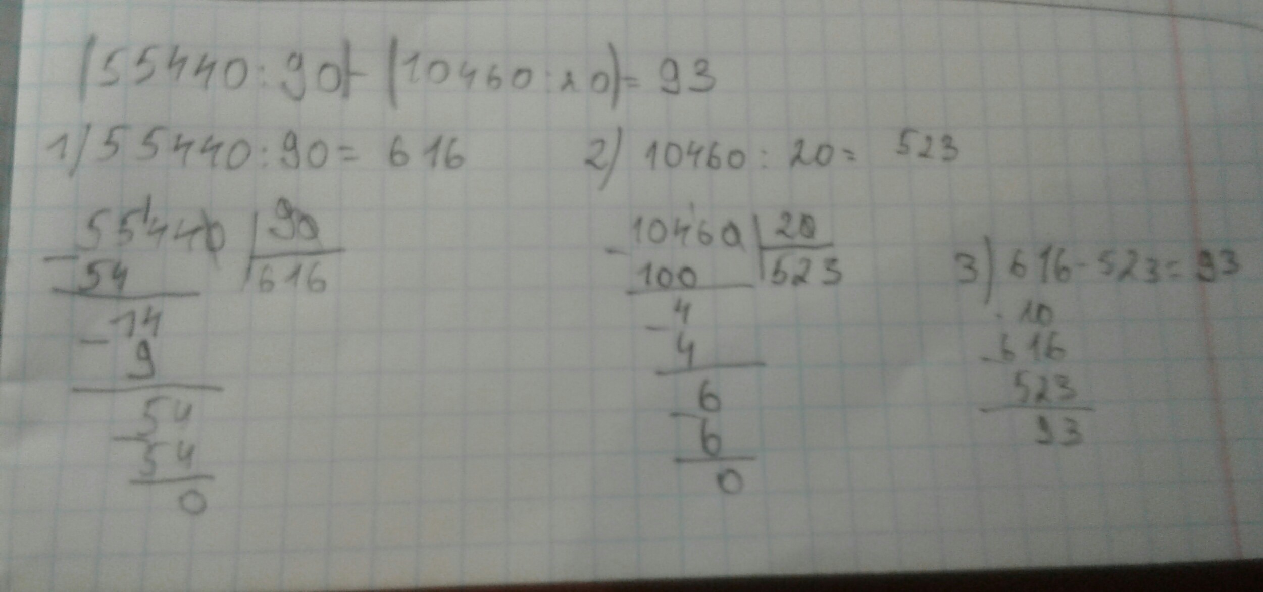
55440÷90-10460÷20
1)55440÷90=616
2)10460÷20=523
3)616-523=93
41090÷70+11950÷50
1)41090÷70=587
2)11950÷50=239
3)587+239=826
1)463700÷50=9.274
2)546×40=21.840
3)9.274+21.840=31 114
55440÷90-10460÷20
1)55440÷90=616
2)10460÷20=523
3)616-523=93
41090÷70+11950÷50
1)41090÷70=587
2)11950÷50=239
3)587+239=826
Автор ответа:
1
еще сейчас скину))))
Приложения:
Похожие вопросы
Предмет: Литература,
автор: SergeiZakirov
Предмет: Окружающий мир,
автор: tatanakubaeva451
Предмет: Українська мова,
автор: lizabalukh72
Предмет: Математика,
автор: саджи
Предмет: География,
автор: ynnkrkv