Предмет: Математика,
автор: RasulDzhaksilikov
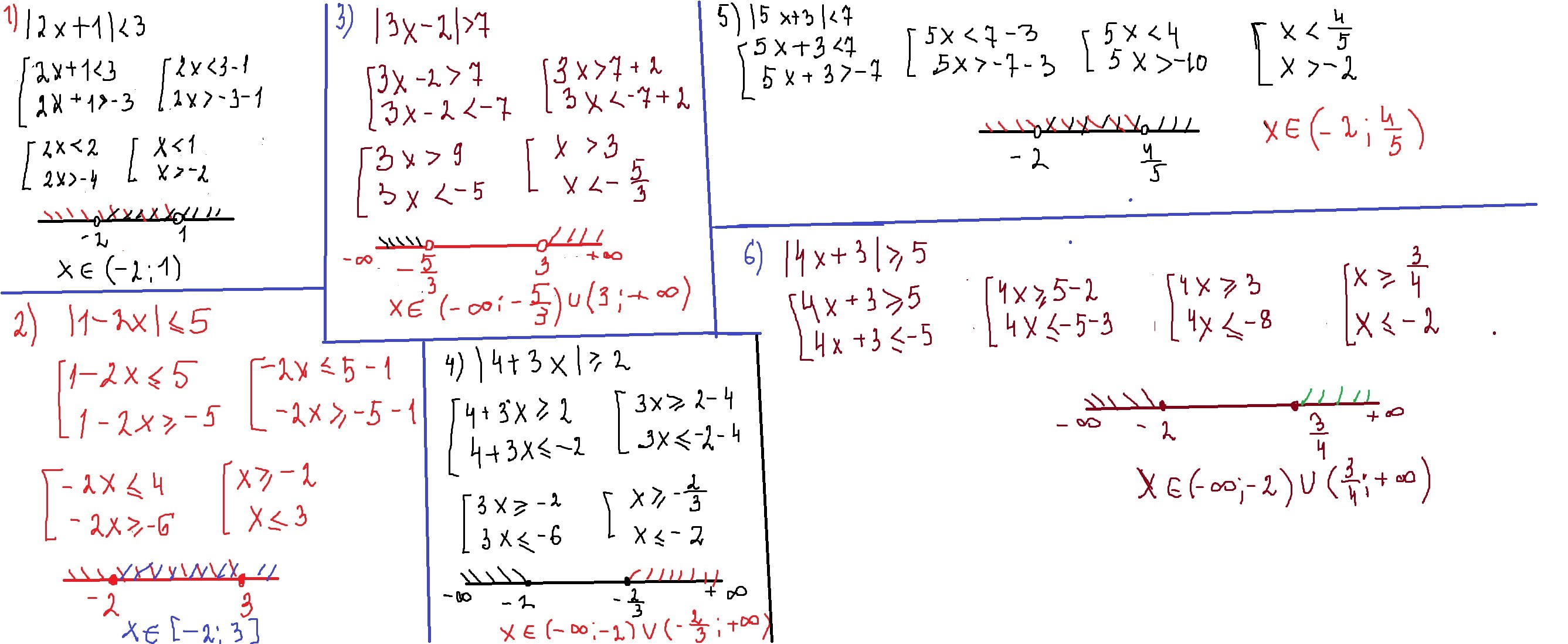
Помогите пожалуйста! Решите неравенство и запишите множество его целых решений можете скинуть фото пожалуйста!
Приложения:
Ответы
Автор ответа:
4
!!!!!!!!!!!!!!!!!!!!!!!!!!!!!!!!!!!!!!!
Приложения:
RasulDzhaksilikov:
Спасибо большое!!!
пожалуйста!!!
Автор ответа:
4
смотри решение внизу
Приложения:
Похожие вопросы
Предмет: Химия,
автор: ttana9385
Предмет: Информатика,
автор: Dreew
Предмет: Математика,
автор: danila121218
Предмет: Алгебра,
автор: olechka199812