Предмет: Математика,
автор: Pomogi09
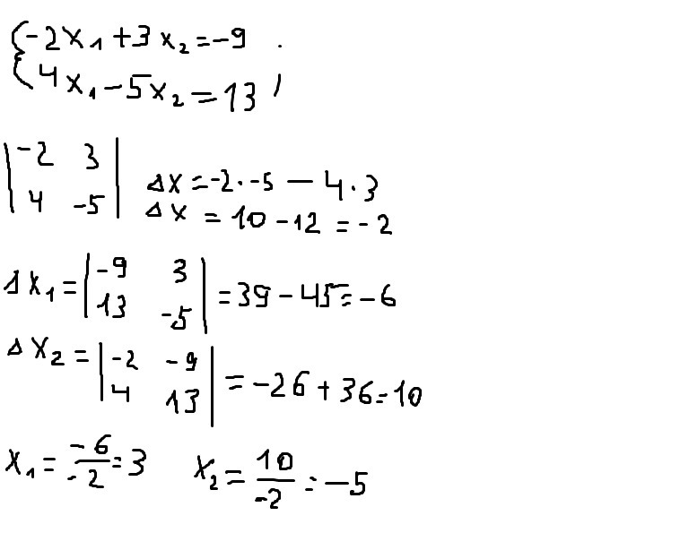
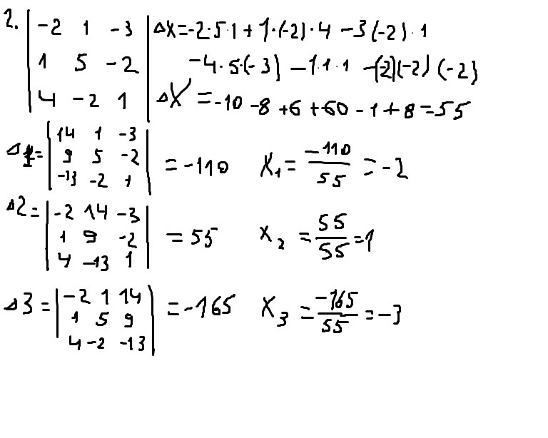
Методом Крамера
помогите пожалуйста
Приложения:
Ответы
Автор ответа:
0
ответ1: х1=3 , х2=-5
твет1: х1=-2 х2=1 х3=-3
твет1: х1=-2 х2=1 х3=-3
Приложения:
Похожие вопросы
Предмет: Английский язык,
автор: muhtarhanerasyl
Предмет: Окружающий мир,
автор: karina28041982
Предмет: Физика,
автор: xADSKAYAx
Предмет: Математика,
автор: alina854715