Предмет: Математика,
автор: youtuberaka03
Помогите пж
Найдите Величину
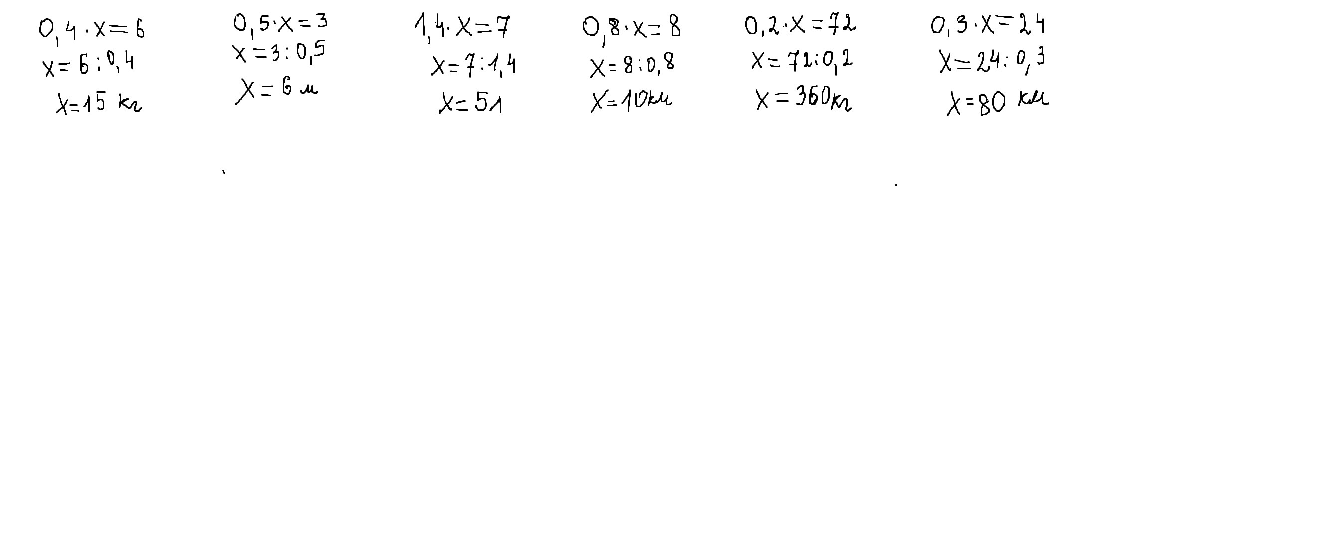
0,4 которой равен 6 кг
0,5 которой равен 3 м
1, 4 которой равен 7 л
0,8 которой равен 8 км
0,2 которой равен 72 кг
0,3 которой равен 24 км
Ответы
Автор ответа:
14
6/0.4=15(кг)
3/0.5=6(м)
7/1.4=5(л)
8/0.8=10(км)
72/0.2=360(кг)
24/0.3=80(км)
3/0.5=6(м)
7/1.4=5(л)
8/0.8=10(км)
72/0.2=360(кг)
24/0.3=80(км)
youtuberaka03:
спс
а за какой класс эта задачка
за .
за 7 класс
понятно я в 6
круто
ладно пиши
окей
Автор ответа:
6
пусть это величина Х.
Приложения:
спс
Похожие вопросы
Предмет: Математика,
автор: Bnikaklubnika
Предмет: Литература,
автор: aleksandramiehajlova
Предмет: Алгебра,
автор: Martinat
Предмет: Химия,
автор: tanushka1993
Предмет: Химия,
автор: tanushka1993