Предмет: Математика,
автор: Воваааан
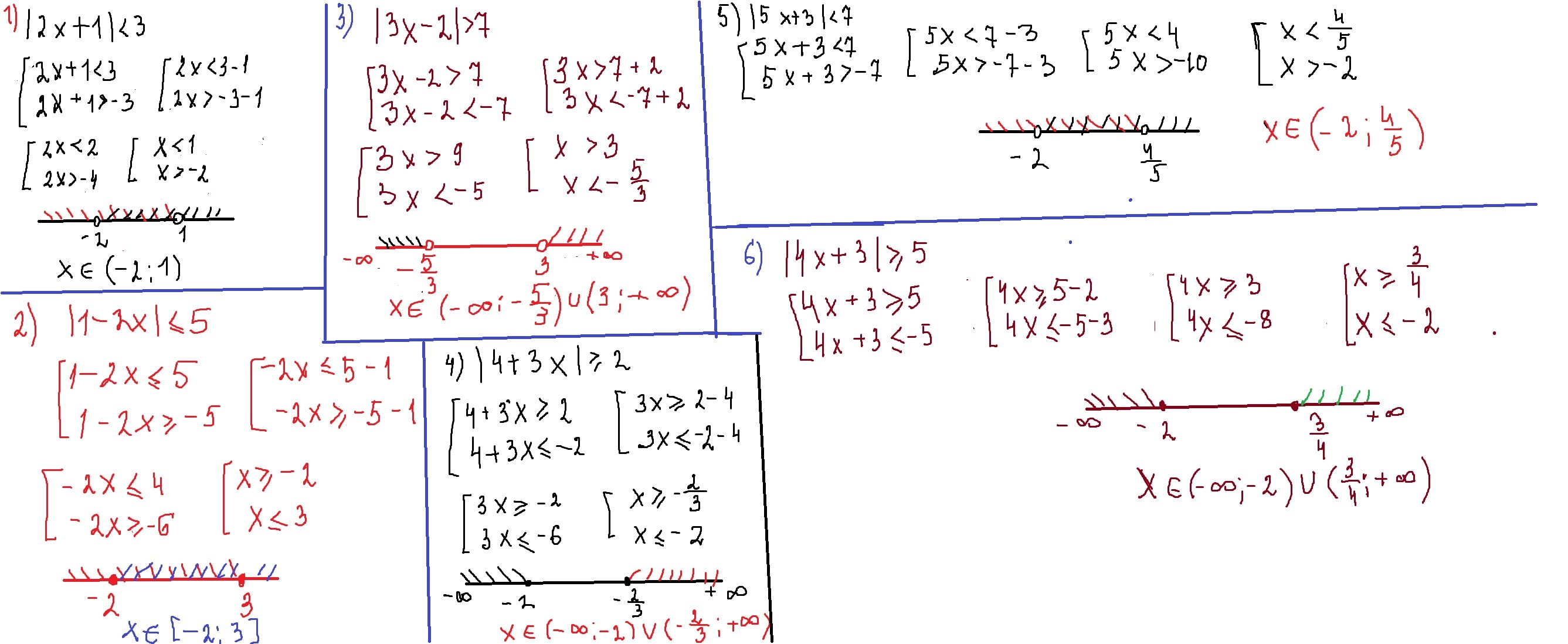
#1080 пожалуйста нужно срочно!!!!!!!!!!
Приложения:
Ответы
Автор ответа:
1
решала вчера кому-то
Приложения:
Похожие вопросы
Предмет: Математика,
автор: zairam05
Предмет: Геометрия,
автор: klazeanna752
Предмет: Русский язык,
автор: Anzelila
Предмет: Математика,
автор: KarinaKakirova
Предмет: Химия,
автор: Sssssssssskrt