Предмет: Геометрия,
автор: alimhankun
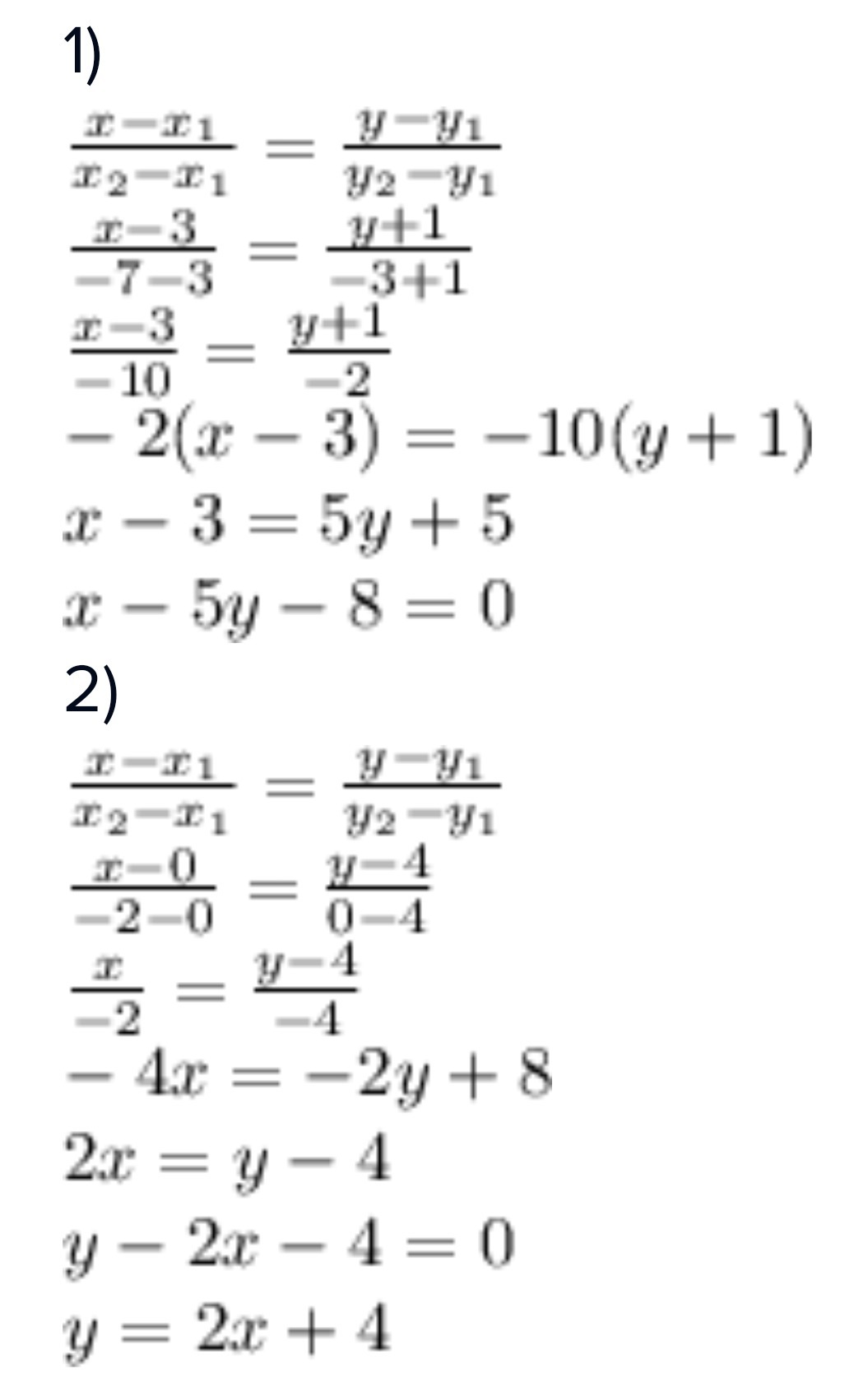
составьте уравнение прямой проходящей через точки A(3:-1) B(-7:-3)
еще один пример A(0:4) B(-2:0)
Ответы
Автор ответа:
2
решение во вложенном файле
Приложения:
Похожие вопросы
Предмет: Математика,
автор: DianaDi140912
Предмет: Литература,
автор: Аноним
Предмет: Литература,
автор: Аноним
Предмет: Математика,
автор: Ансапк
Предмет: Математика,
автор: zeronil