Предмет: Математика,
автор: Dmitrij0505
Написать только ответы
Приложения:
Ответы
Автор ответа:
0
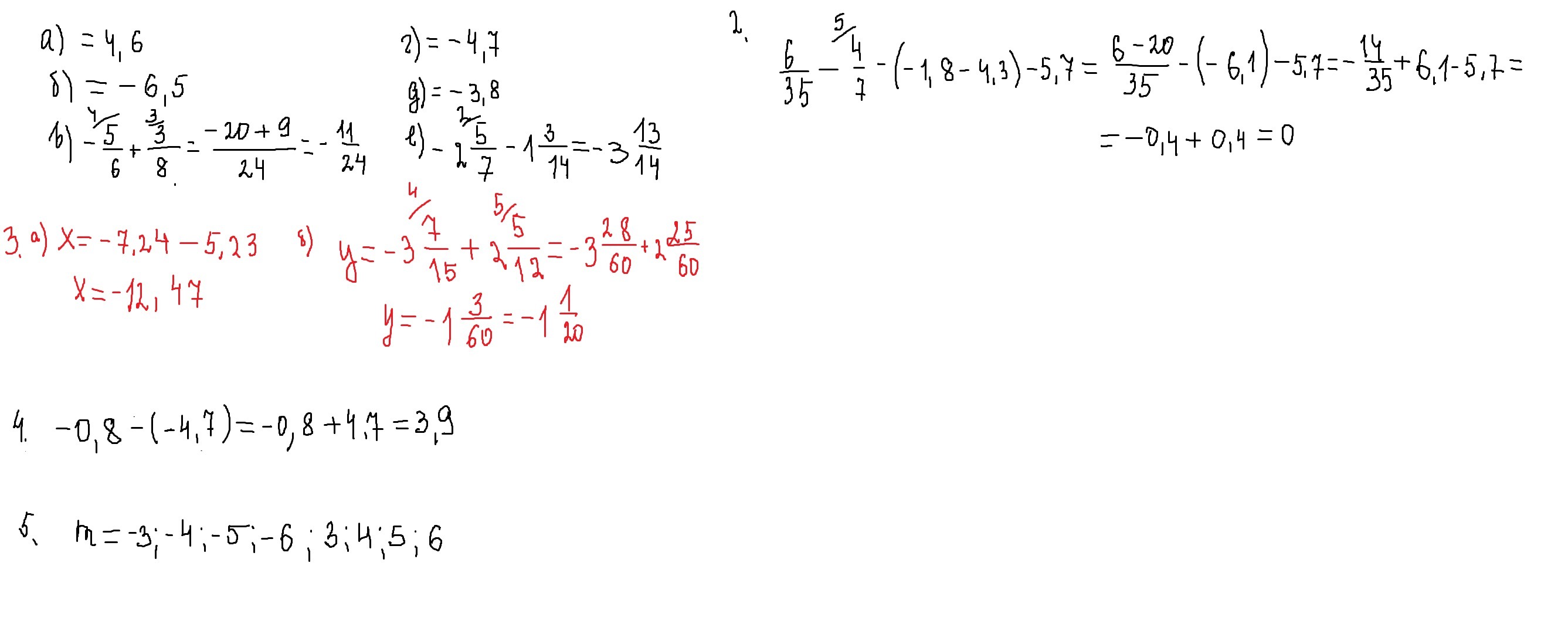
смотри решение внизу
Приложения:
Похожие вопросы
Предмет: Қазақ тiлi,
автор: andronovkola9
Предмет: Литература,
автор: otebaikau
Предмет: Литература,
автор: Аноним
Предмет: Математика,
автор: 06062006Ксюша
Предмет: Химия,
автор: maykiuey01