Предмет: Математика,
автор: анонас2018
помогите сделать второй!! Пожалуйста
Приложения:
Ответы
Автор ответа:
2
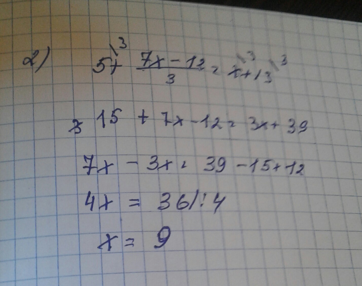
5+(7x-12) /3=x+13
(7x-12) /3=x+8
7x-12=(x+8)*3
7x-12=3x+24
7x=3x+36
4x=36
x=9
(7x-12) /3=x+8
7x-12=(x+8)*3
7x-12=3x+24
7x=3x+36
4x=36
x=9
Автор ответа:
3
там ещё в конце запиши Ответ:x=9
Приложения:
Похожие вопросы
Предмет: Математика,
автор: ivannahordich
Предмет: Математика,
автор: foxin2820
Предмет: Математика,
автор: Anya2010cat
Предмет: Математика,
автор: Nasaliani
Предмет: Математика,
автор: Аноним