Предмет: Математика,
автор: Chеmic
10 класс Алгебра, задание во влажении
Решите уравнение
Приложения:
Ответы
Автор ответа:
0
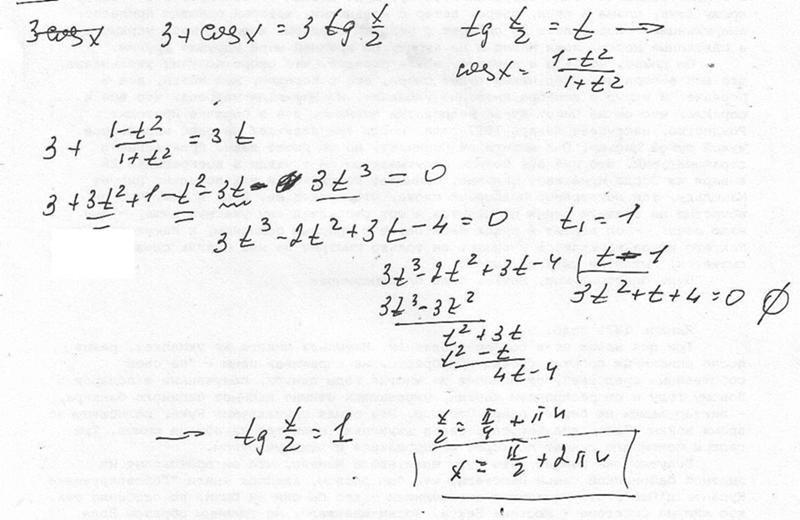
Вот решение данного уравнения
Приложения:
Chеmic:
Чет ниче не понял
Все друг надруге
3t^3-3t^2 Откда
Похожие вопросы
Предмет: Алгебра,
автор: dkurilina115
Предмет: Математика,
автор: Hurrem228
Предмет: Русский язык,
автор: anuarbekovalihan353
Предмет: Литература,
автор: сергей377
Предмет: Математика,
автор: Patric333