Предмет: Математика, автор: polina9033

99 баллов!!! Помогите решить уравнение 5, 7 и 8.

Приложения:

Ответы

Автор ответа: Аноним
2
5)\;\frac5{x+1}+\frac4{x-2}=\frac3{x-3}\\O.D.3.:\\\begin{cases}x+1\neq0\\x-2\neq0\\x-3\neq0\end{cases}\Rightarrow\begin{cases}x\neq-1\\x\neq2\\x\neq3\end{cases}\\\frac{5(x-2)+4(x+1)}{(x+1)(x-2)}=\frac3{x-3}\\\frac{5x-10+4x+4}{x^2-x-2}=\frac3{x-3}\\(9x-6)(x-3)=3(x^2-x-2)\\9x^2-33x+18=3x^2-3x-6\\6x^2-30x+24=0\;\;\div6\\x^2-5x+4=0\\D=25-4\cdot4=25-16=9\\x_{1,2}=\frac{5\pm3}2\\x_1=1\\x_2=4

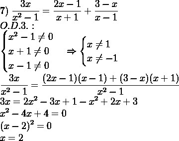
7)\;\frac{3x}{x^2-1}=\frac{2x-1}{x+1}+\frac{3-x}{x-1}\\O.D.3.:\\\begin{cases}x^2-1\neq0\\x+1\neq0\\x-1\neq0\end{cases}\Rightarrow\begin{cases}x\neq1\\x\neq-1\end{cases}\\\frac{3x}{x^2-1}=\frac{(2x-1)(x-1)+(3-x)(x+1)}{x^2-1}\\3x=2x^2-3x+1-x^2+2x+3\\x^2-4x+4=0\\(x-2)^2=0\\x=2

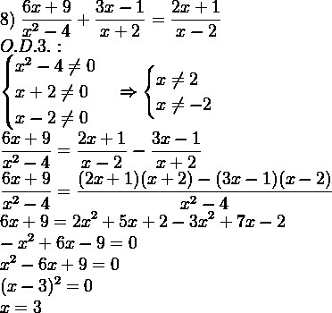
8)\;\frac{6x+9}{x^2-4}+\frac{3x-1}{x+2}=\frac{2x+1}{x-2}\\O.D.3.:\\\begin{cases}x^2-4\neq0\\x+2\neq0\\x-2\neq0\end{cases}\Rightarrow\begin{cases}x\neq2\\x\neq-2\end{cases}\\\frac{6x+9}{x^2-4}=\frac{2x+1}{x-2}-\frac{3x-1}{x+2}\\\frac{6x+9}{x^2-4}=\frac{(2x+1)(x+2)-(3x-1)(x-2)}{x^2-4}\\6x+9=2x^2+5x+2-3x^2+7x-2\\-x^2+6x-9=0\\x^2-6x+9=0\\(x-3)^2=0\\x=3
Приложения:
Похожие вопросы
Предмет: Математика, автор: ansty1998
Предмет: Математика, автор: вика716