Предмет: Математика,
автор: Skolarushittalanti
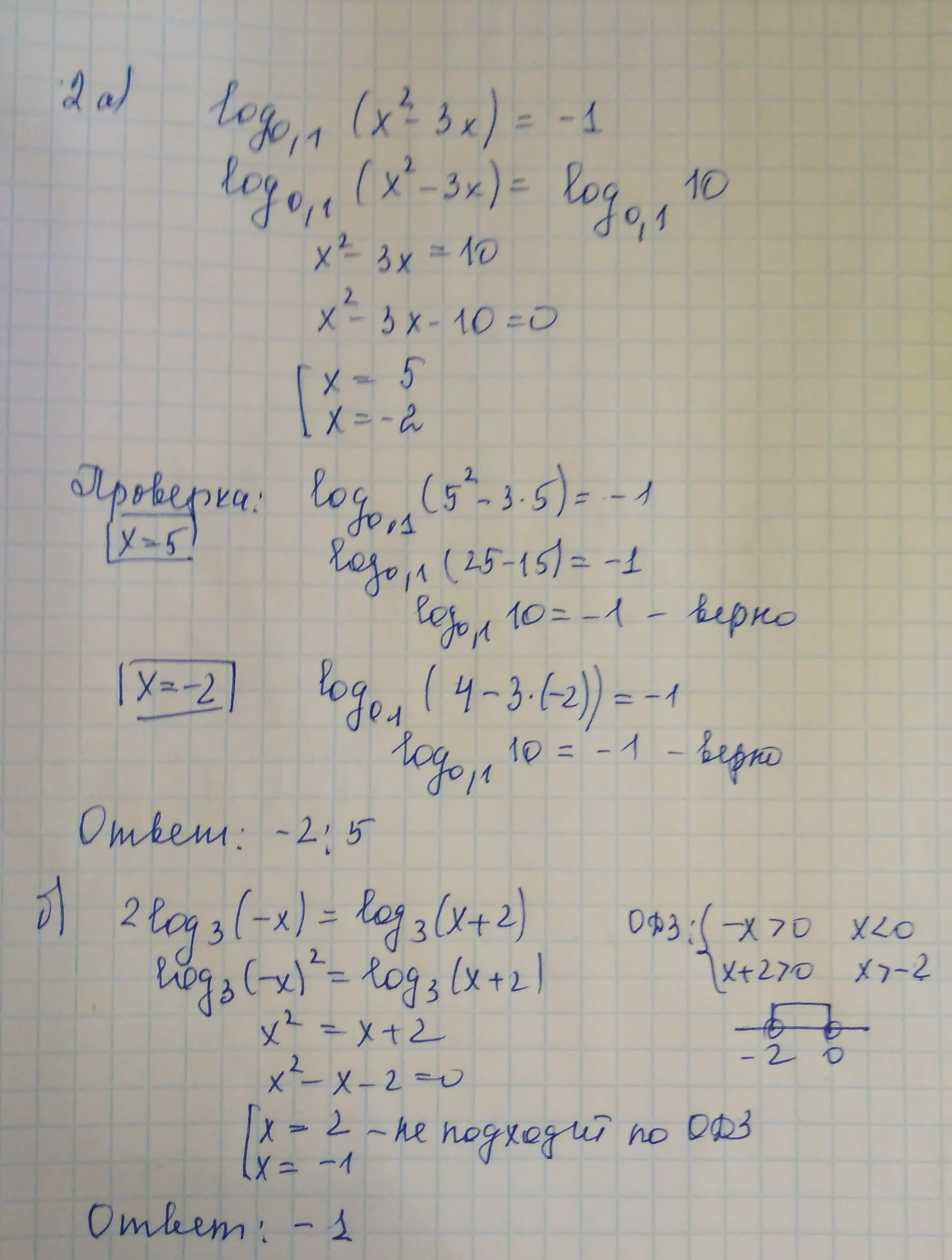
решите логарифмы пожалуйста номер 2
Приложения:
Ответы
Автор ответа:
1
решение в прикрепленной фотографии
Приложения:
Skolarushittalanti:
спасибо большое,жаль что поздно
Похожие вопросы
Предмет: Алгебра,
автор: Аноним
Предмет: Физика,
автор: doroginin6
Предмет: Алгебра,
автор: kirillsuharevskiy
Предмет: Математика,
автор: izum174
Предмет: Химия,
автор: 5ххх5