Предмет: Математика,
автор: Tralty
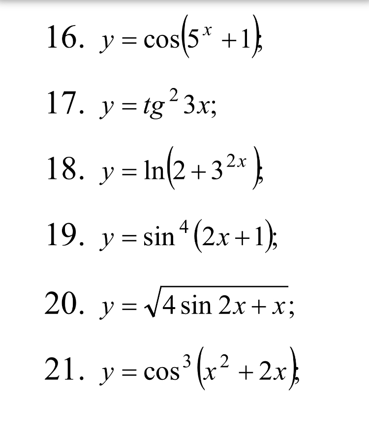
Помогите найти производные
Приложения:
Ответы
Автор ответа:
0
16)

17)

18)

19)

20)

21)

17)
18)
19)
20)
21)
Похожие вопросы
Предмет: Геометрия,
автор: Аноним
Предмет: Физика,
автор: sf28011985
Предмет: Алгебра,
автор: btstaetae997
Предмет: Математика,
автор: лелик98765
Предмет: Математика,
автор: mariarkuzina