Предмет: Алгебра,
автор: Alexey1925
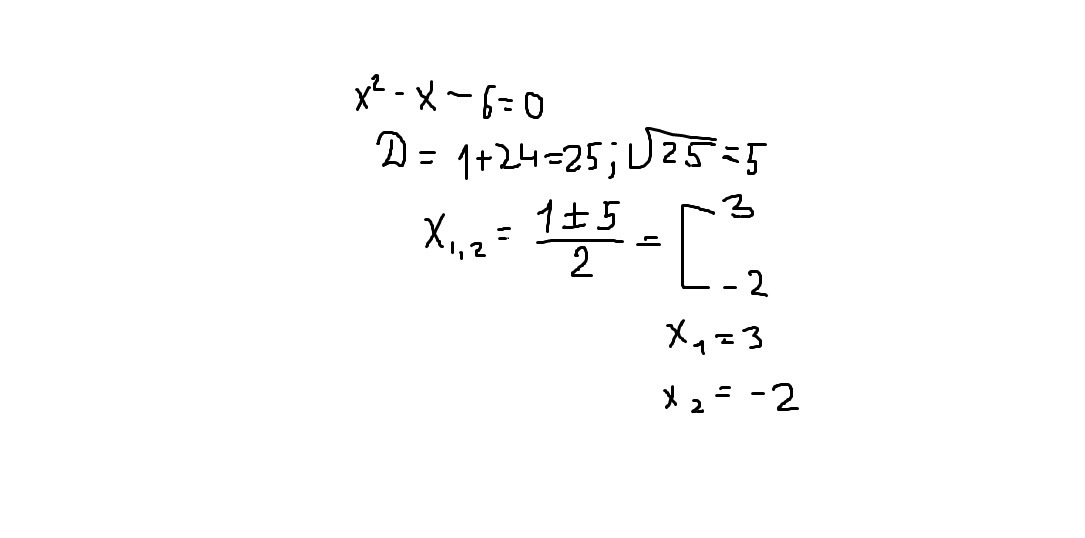
Решите уравнение . х(во второй)-х-6=0
Если корней несколько, запишите их в ответ без пробелов в порядке возрастания.
Ответы
Автор ответа:
16
решение во вложении
надеюсь понятно написала
надеюсь понятно написала
Приложения:
Автор ответа:
6
D=1+4*6=25Корень равно 5
x1=1-5/2=-2
x2=1+5/2=3
Ответ -23
x1=1-5/2=-2
x2=1+5/2=3
Ответ -23
Похожие вопросы
Предмет: Математика,
автор: kmatveeva988
Предмет: Математика,
автор: kata4051
Предмет: История,
автор: irinadacenko926
Предмет: Математика,
автор: lianadarbaidze
Предмет: История,
автор: HIKOR