Предмет: Алгебра,
автор: kamik1216
Логарифмы. Как решить?
Приложения:
Ответы
Автор ответа:
0
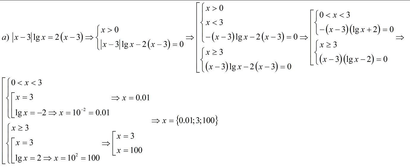
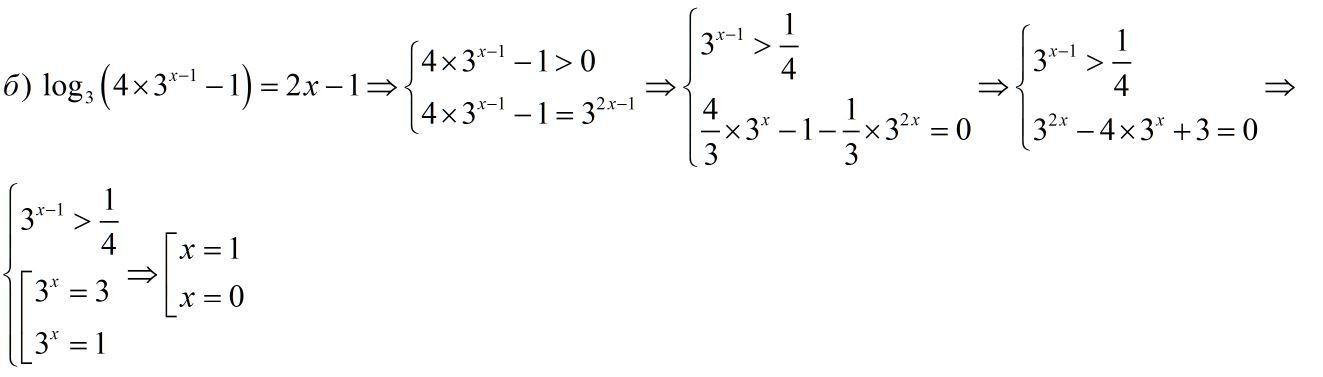
........................................................................................................
Приложения:
Похожие вопросы
Предмет: Английский язык,
автор: beisekeiaygerim08
Предмет: Литература,
автор: plishdimon
Предмет: Математика,
автор: aygyungadjieva8080
Предмет: Геометрия,
автор: Arina4451