Предмет: Геометрия,
автор: katyha031
Помогите пожалуйста, всё на картинке
Приложения:
Ответы
Автор ответа:
0
используешь формулу тригонометрии sina=-+sqrt1-cosa
подставляешь на место cosa sqrt7/4
и решаешь.sqrt квадратный корень
подставляешь на место cosa sqrt7/4
и решаешь.sqrt квадратный корень
Автор ответа:
1
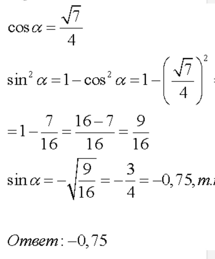
вот крч эт полный ответ)
Приложения:
Похожие вопросы
Предмет: Химия,
автор: RBOff
Предмет: ОБЖ,
автор: ajsylumirhajdarova26
Предмет: География,
автор: iuliya135
Предмет: Математика,
автор: mauzeriss
Предмет: Алгебра,
автор: Сашенька08