Предмет: Физика,
автор: homkada
Откуда взялись эти формулы ?
Приложения:
Ответы
Автор ответа:
0
их создали великие учёные, не так ли?
Автор ответа:
0
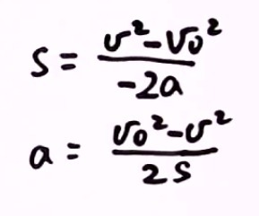
S=(
+
/2)*t подставляем вместо t эту формулу t=
-
/
Похожие вопросы
Предмет: Алгебра,
автор: yackiv
Предмет: Математика,
автор: alisik123lol
Предмет: Русский язык,
автор: genag0096
Предмет: Математика,
автор: ксю2912
Предмет: Химия,
автор: danik12012000