Предмет: Алгебра,
автор: КFkaravaeva
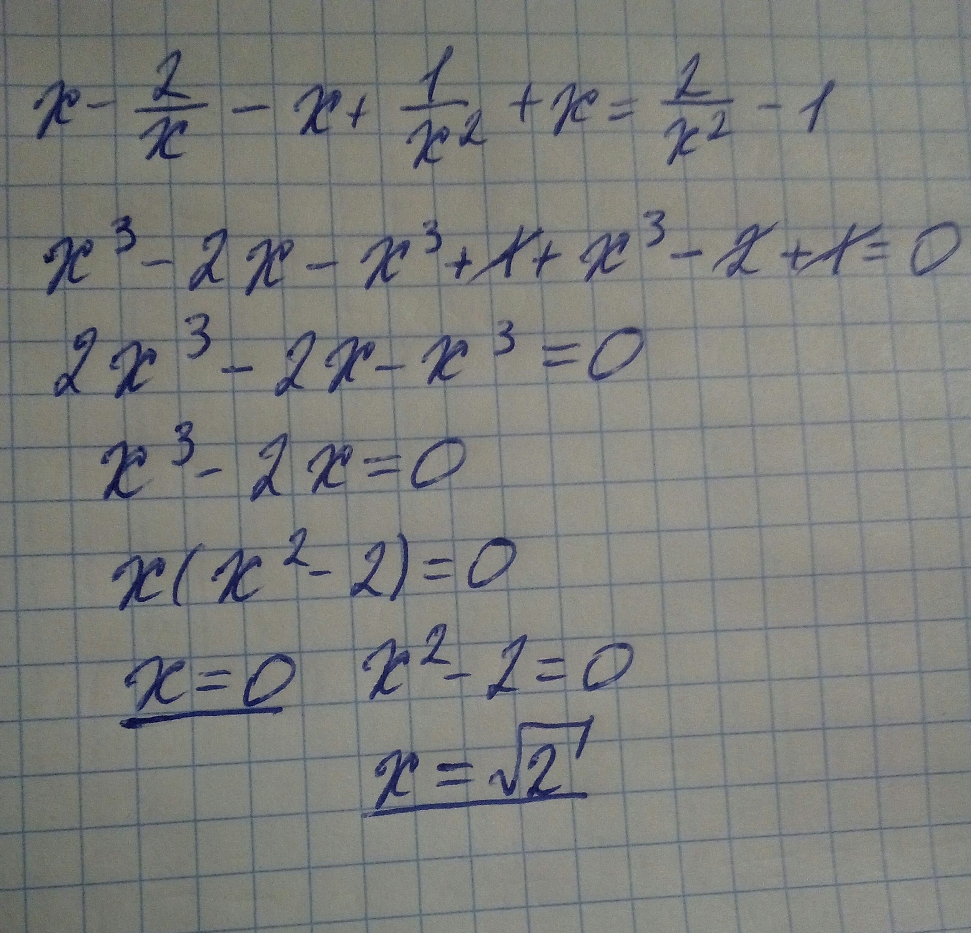
x - 2 \ x² - x + 1\x² + x = 2\x² -1
Ответы
Автор ответа:
0
вот такое вот решение))))))))
Приложения:
Похожие вопросы
Предмет: Химия,
автор: elizavetavasil67
Предмет: Литература,
автор: mashakochen40
Предмет: Қазақ тiлi,
автор: maxim1613
Предмет: Математика,
автор: 789tanzzz
Предмет: Алгебра,
автор: InnaNesterova055