Предмет: Алгебра,
автор: 22SadBoy22
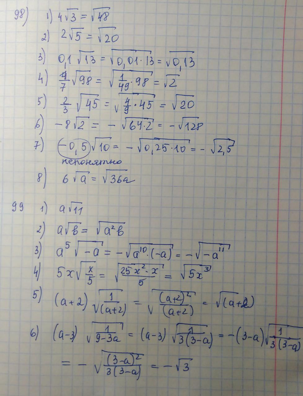
Помогите с алгеброй
Приложения:
Ответы
Автор ответа:
1
Решение в прикрепленном фото
Приложения:
Похожие вопросы
Предмет: Математика,
автор: timofey45
Предмет: Математика,
автор: milansofia41
Предмет: Математика,
автор: Аноним
Предмет: Математика,
автор: myrmyrmyr101