Предмет: Геометрия,
автор: кляча
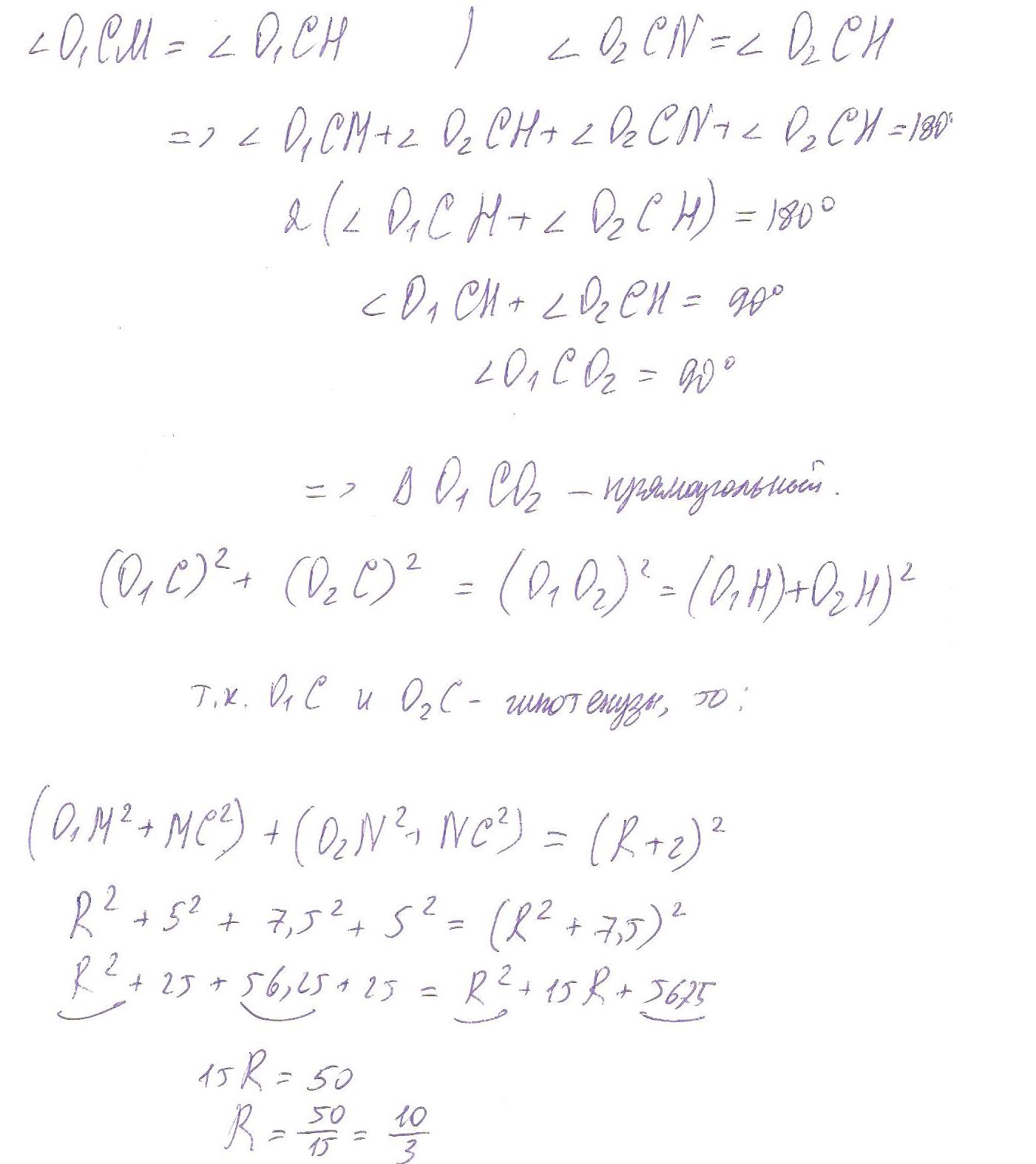
Основание АС равнобедренного треугольника АВС равно 10. Окружность радиусом 7,5 с центром вне этого треугольника касается продолжения боковых сторон треугольника и касается АС в его середине. Найти радиус окружности, вписанной в треугольник АВС.
Ответы
Автор ответа:
0
Надеюсь будет понятно....
Приложения:
Похожие вопросы
Предмет: История,
автор: kkd8best
Предмет: Алгебра,
автор: NasskaNasska
Предмет: Українська мова,
автор: Ccxccxcc
Предмет: Математика,
автор: VIPЗайкаXD
Предмет: Алгебра,
автор: winxwinx