Предмет: Алгебра,
автор: nosonov34
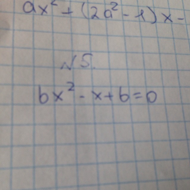
При каких значениях b уравнение имеет один корень?
Приложения:
Ответы
Автор ответа:
0
Ответ: при b=0; b=-1/2; b=-1/2
Похожие вопросы
Предмет: Химия,
автор: IM2003TOHM
Предмет: Биология,
автор: lizafedor6
Предмет: Английский язык,
автор: aminaareseva985
Предмет: Математика,
автор: Aida205
Предмет: Математика,
автор: мадя5