Предмет: Алгебра,
автор: artem813
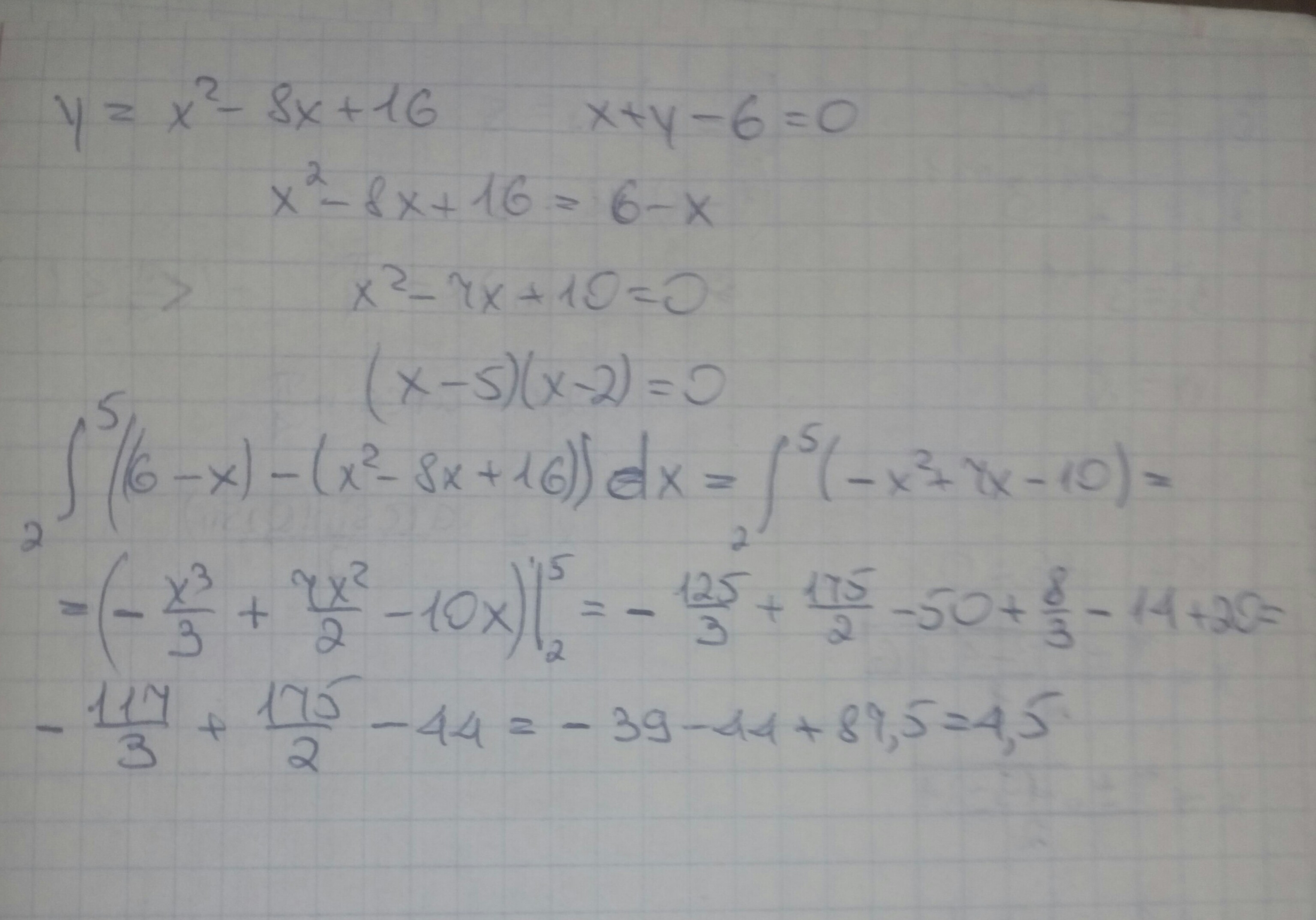
вычислить площадь фигуры ограниченной линиями y=x^2-8x+16, x+y-6=0
Ответы
Автор ответа:
3
......................
Приложения:
Похожие вопросы
Предмет: Українська мова,
автор: Аноним
Предмет: Русский язык,
автор: Аноним
Предмет: Английский язык,
автор: NiLen2
Предмет: История,
автор: жора30
Предмет: Физика,
автор: malceval