Предмет: Математика,
автор: D103005
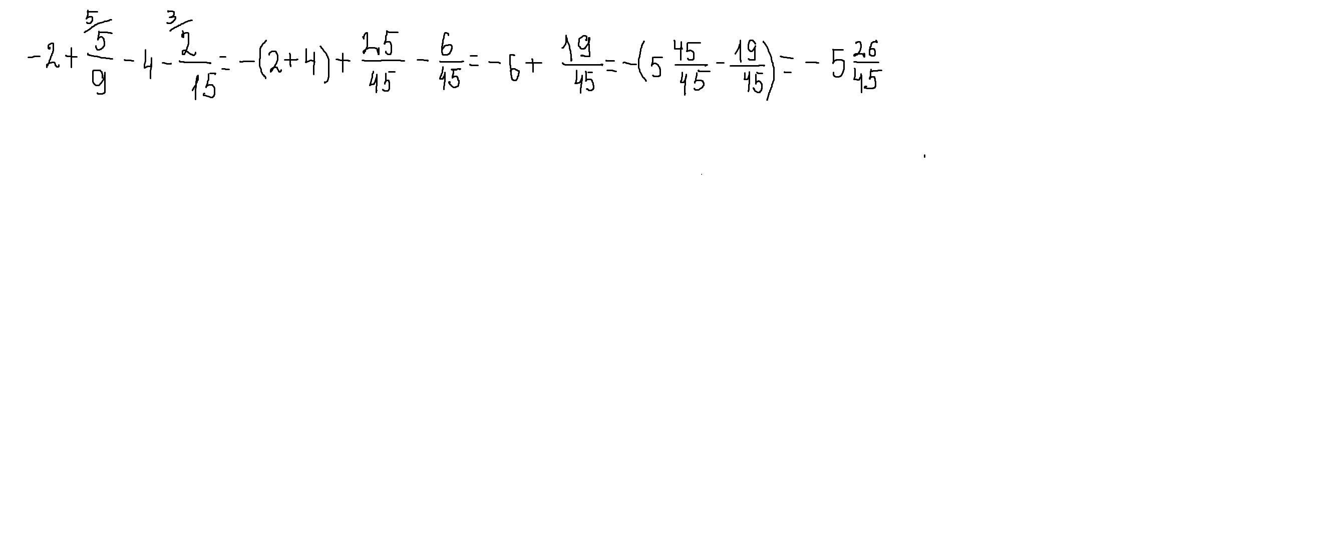
Помогите пожалуйста 2) -2+5/9 -4- 2/15
Ответы
Автор ответа:
0
1) -2-4=-6
2) 5/9-2/15=25/45-6/45=19/45
2)19/45-6=-5 26/45
2) 5/9-2/15=25/45-6/45=19/45
2)19/45-6=-5 26/45
Автор ответа:
0
смотри решение внизу
Приложения:
Похожие вопросы
Предмет: Русский язык,
автор: Naruto4560
Предмет: Русский язык,
автор: narwonse
Предмет: Алгебра,
автор: kirilenkonastya28
Предмет: Алгебра,
автор: gorec2
Предмет: Математика,
автор: ксюша0510