Предмет: Математика,
автор: nataleee
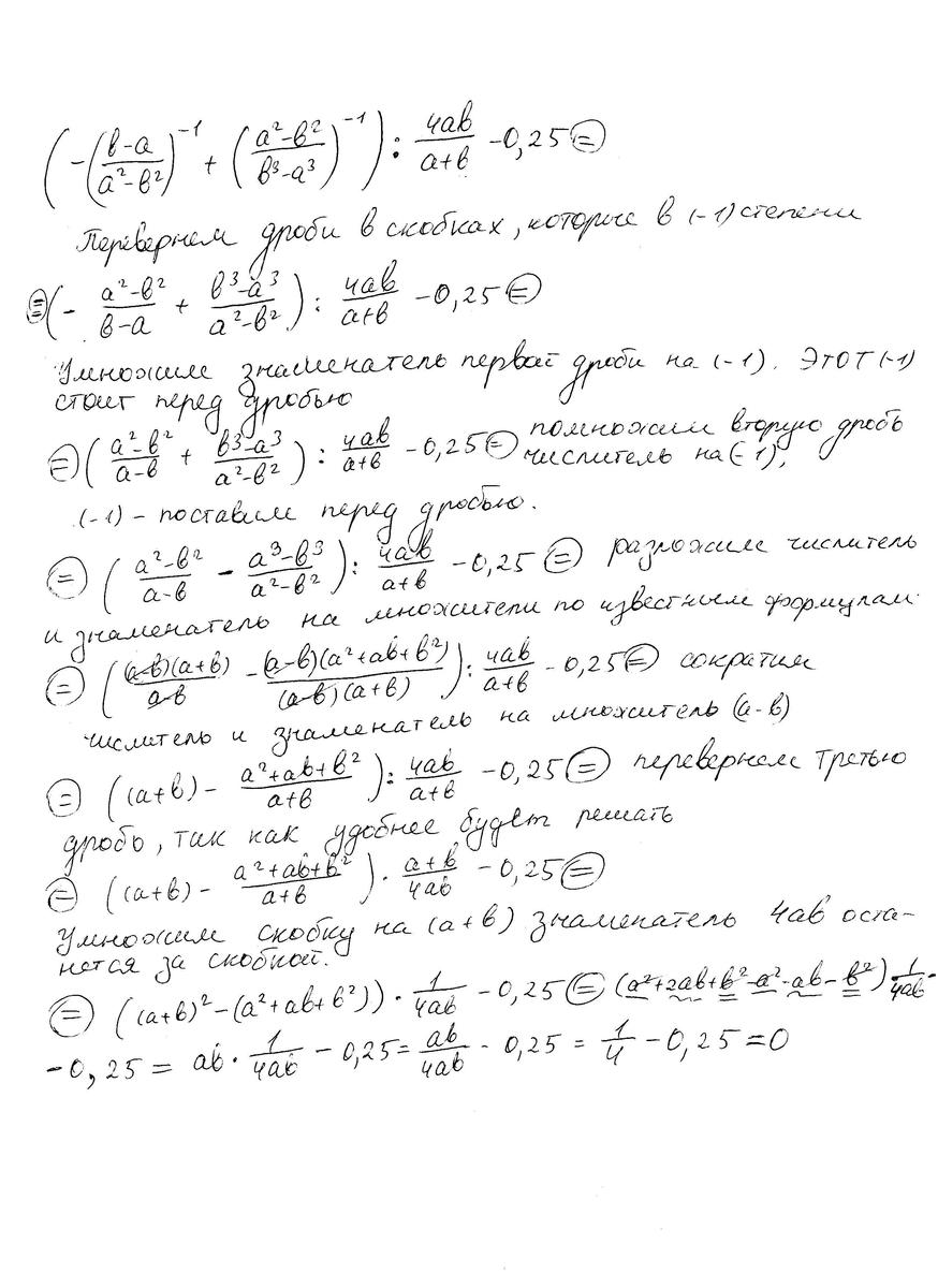
Решите подробно 1 задание
Приложения:
Ответы
Автор ответа:
0
Посмотрите во вложении. Ответ: 0.
Приложения:
Похожие вопросы
Предмет: Қазақ тiлi,
автор: altynaibigozhanovaa
Предмет: Математика,
автор: seyidovafidan2005
Предмет: Алгебра,
автор: mtitova917
Предмет: Алгебра,
автор: CptSerjio