Предмет: Алгебра,
автор: Lunagame
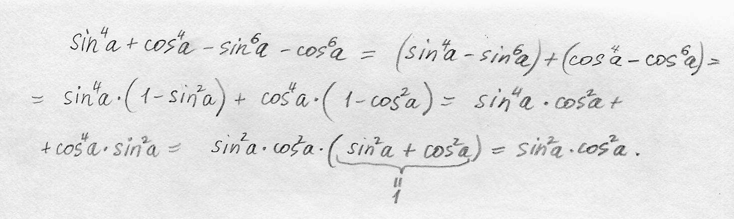
Докажите тождество: sin^4a+cos^4a-sin^6a-cos^6a=sin^a*cost^2a
С полным решением, пожалуйста
Ответы
Автор ответа:
0
решение на листке ===>>
Приложения:
Похожие вопросы
Предмет: Физика,
автор: Аноним
Предмет: Математика,
автор: cidopig676
Предмет: Українська мова,
автор: ulera2007
Предмет: Математика,
автор: jasm2829
Предмет: Литература,
автор: Аноним