Предмет: Математика,
автор: ДашаКедики
помогите пж пж пж просто Я болею
Приложения:
Ответы
Автор ответа:
0
вот
все очень легко
все очень легко
Приложения:
Автор ответа:
0
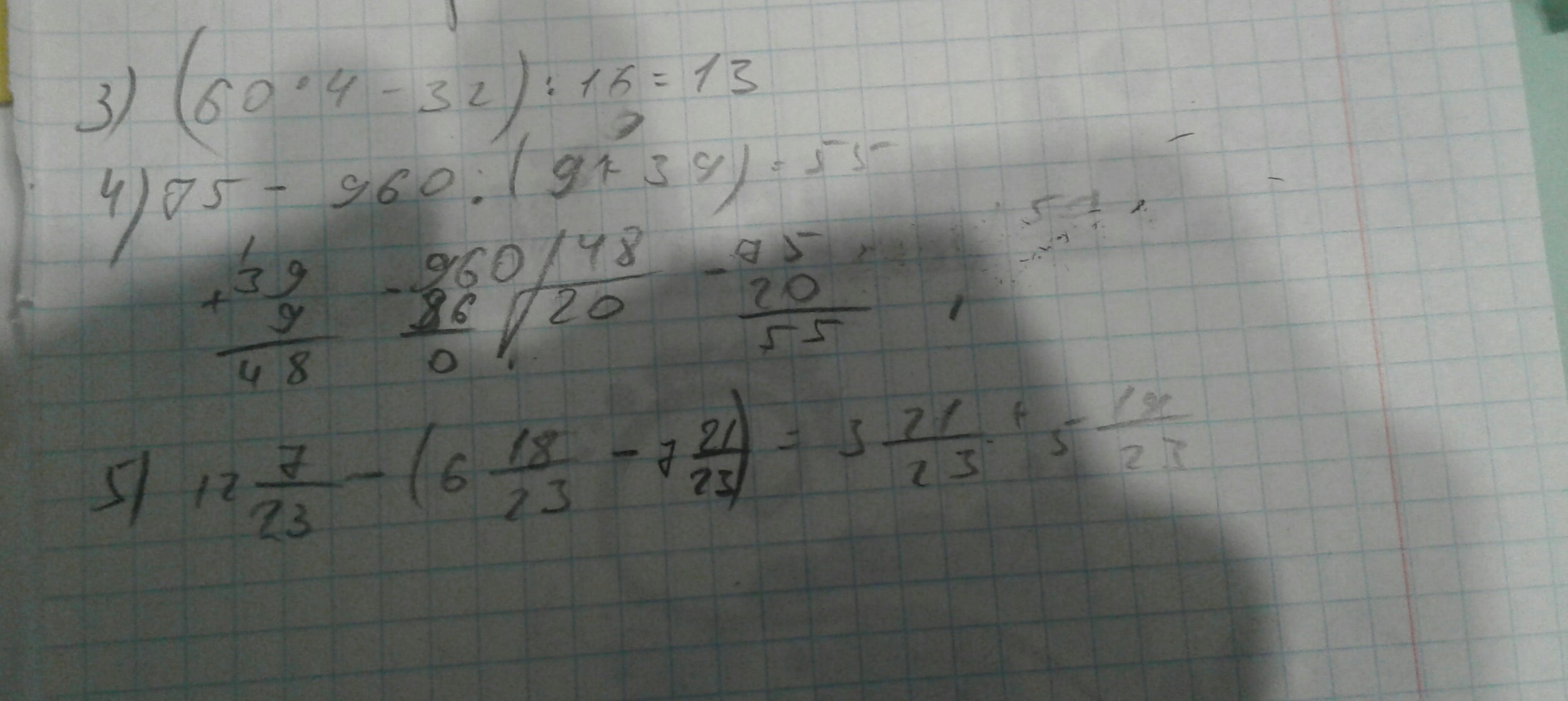
3) (60 × 4 - 32) ÷16 = 13
4) 75 - 960 ÷ ( 9 + 39 ) = 55
5) 12 7/23 - ( 6 18/23 - 7 21/23) = 3 21/23 + 5 19/23
4) 75 - 960 ÷ ( 9 + 39 ) = 55
5) 12 7/23 - ( 6 18/23 - 7 21/23) = 3 21/23 + 5 19/23
Похожие вопросы
Предмет: Математика,
автор: Cido6776
Предмет: Математика,
автор: krngxh
Предмет: Українська мова,
автор: hyberk
Предмет: Литература,
автор: dosponenkova