Предмет: Математика, автор: Porolonka

решить подробно................................................................................

Приложения:

Ответы

Автор ответа: SlavaSlavik
0
Я мог там немного ошибиться, т.к. качество плохое
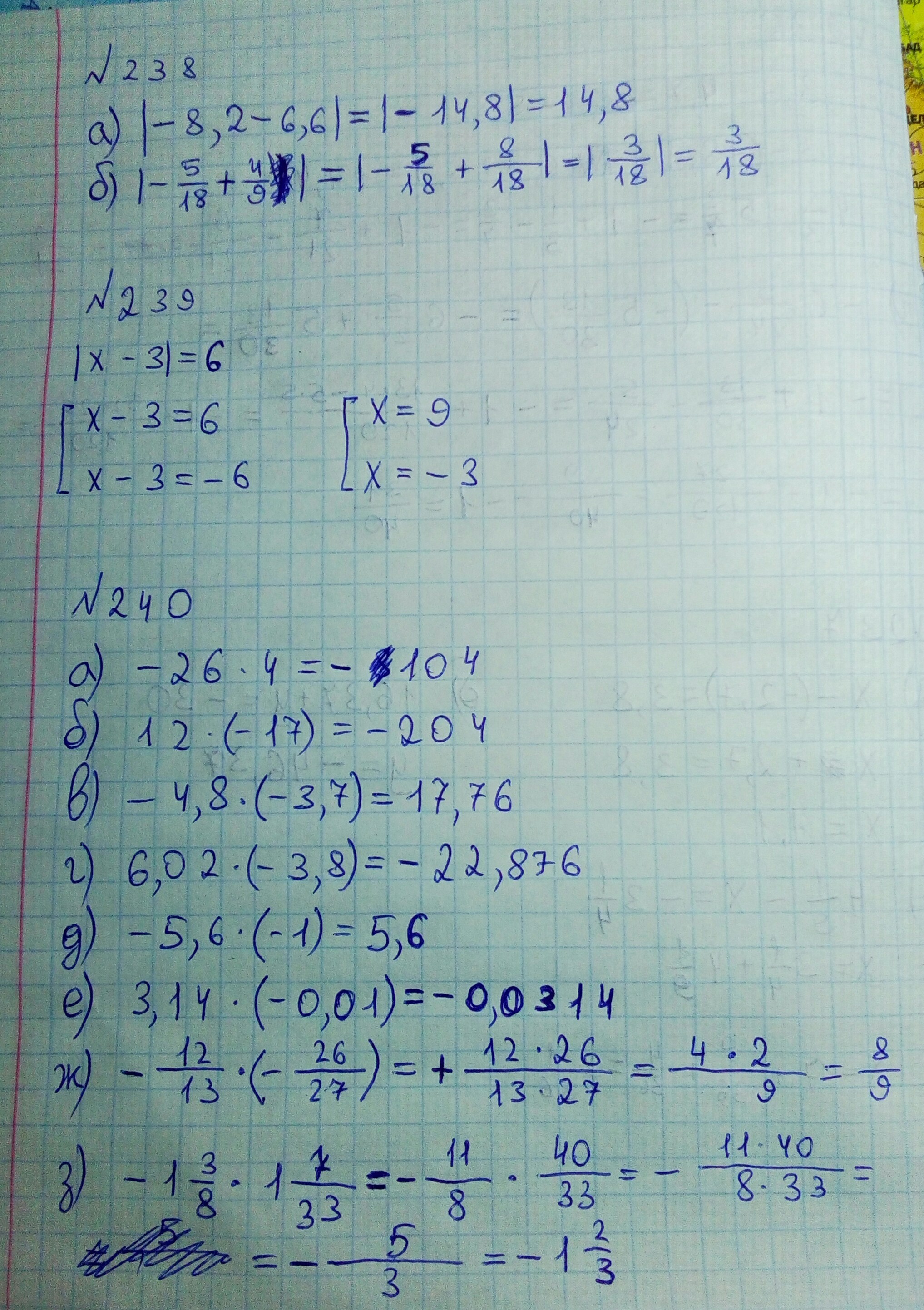
Приложения:

SlavaSlavik: Почему-то первое фото не скинулось
SlavaSlavik: Не понимаю
SlavaSlavik: Создай еще один вопрос
SlavaSlavik: Я отвечу
Похожие вопросы
Предмет: Физика, автор: mempapka090
Помогите с физикой пожалуйста срочно

1-Какое количество теплоты необходимо, чтобы нагреть латунную деталь массой 0,14 кг на 45°C, если удельная теплоёмкость латуни равна 380 Дж/(кг·°C)?
Выбери правильный ответ в джоулях!
2-Определи, сколько нужно сжечь пороха, чтобы выделилось 60⋅108 Дж энергии. Удельная теплота сгорания пороха равна 3 МДж/кг.
Ответ: т
3-При охлаждении куска стали массой 119 г до температуры 17°C выделилось 9 кДж теплоты. Определи, какой была температура стали до охлаждения. Удельная теплоёмкость стали равна 460 Дж/(кг·°C).

Ответ (округли до целых):
4-Используя данные таблицы, определи, в твёрдом или в жидком агрегатном состоянии находится вода при температуре ?=33 °С.

Вещество Температура плавления, °С
Водород −258
Кислород −219
Азот −210
Спирт −114
Ртуть −39
Вода 0
Калий 63
Свинец 327
Алюминий 660
Серебро 962
Золото 1063
Медь 1085
Железо
1539

Ответ: вода находится в агрегатном Состоянии
5-Определи количество теплоты, необходимое для превращения 3 кг льда

с температурой −25 °С в воду при температуре 68 °С.
Температура плавления льда равна 0 °С, удельная теплота плавления льда — 3,4·105Джкг, удельная теплоёмкость льда — 2100Джкг⋅°С, удельная теплоёмкость воды — 4200Джкг⋅°С.


Ответ (округли до десятых):
6-В термос, теплоёмкостью которого можно пренебречь, налито 0,17 кг воды при температуре 19°C. После того, как в воду опустили предмет массой 689 г и с температурой 182°C, в термосе установилась температура 37°C. Определи удельную теплоёмкость материала, из которого сделан предмет.

Ответ (округли до десятых): Дж/(кг·°C).