Предмет: Алгебра,
автор: bugaenko23
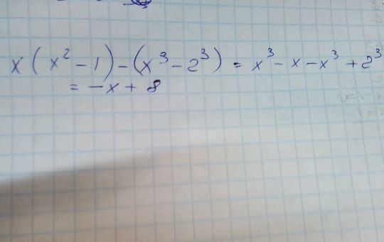
упростите выражения x(x-1)(x++1)-(x-2)(x2+2X+4)
Ответы
Автор ответа:
0
Все решение в фото. Я применила формулы сокращенного умножения
Приложения:
Похожие вопросы
Предмет: Українська мова,
автор: sashaberdar999
Предмет: Физика,
автор: oleggalas2006
Предмет: Химия,
автор: malinnovapolina7
Предмет: Биология,
автор: Аноним
Предмет: Математика,
автор: ветка4