Предмет: Геометрия,
автор: Owl0
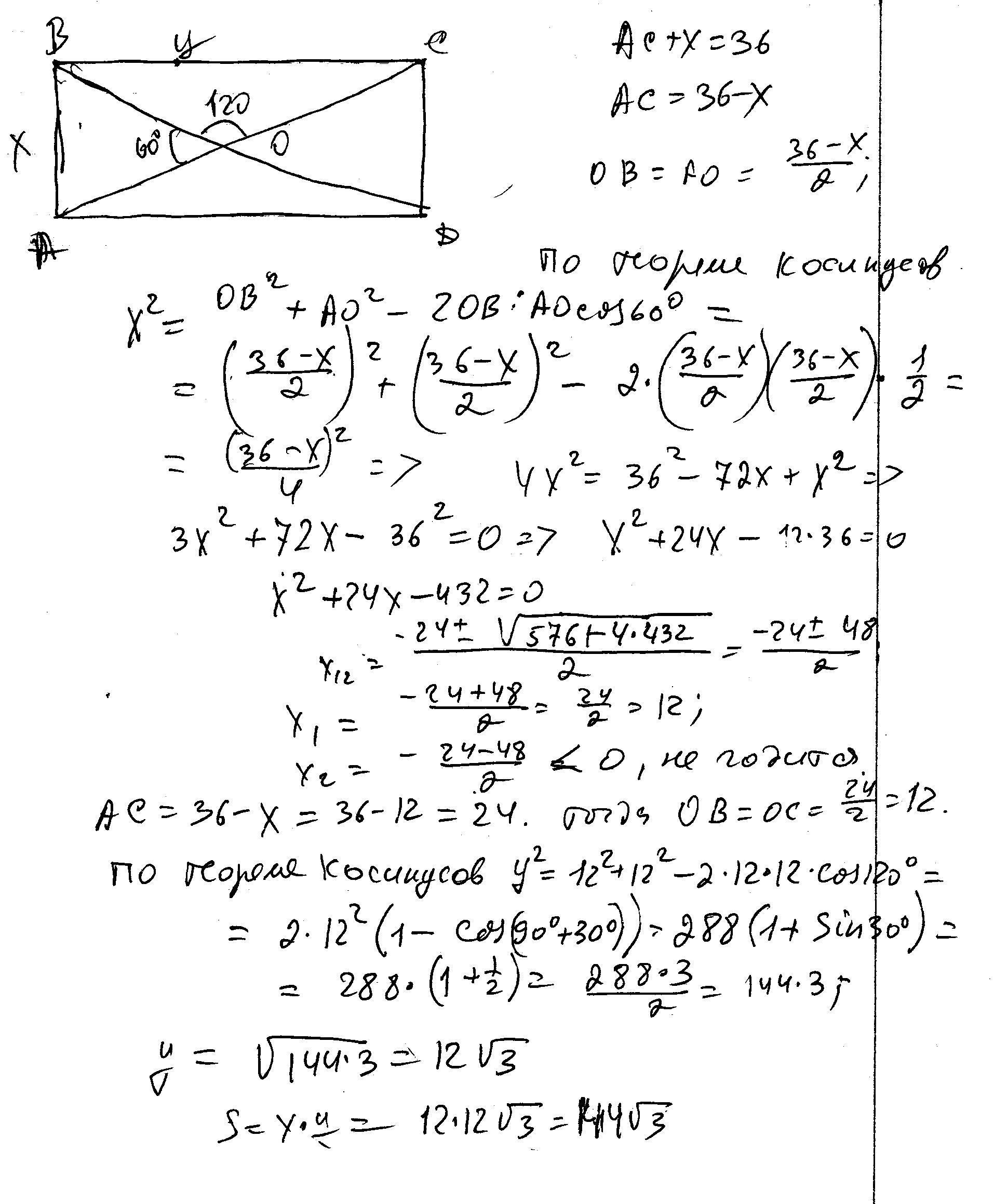
В прямоугольнике диагонали пересекаются под углом 60 градусов, а сумма диагонали и меньшей стороны равна 36. Прощадь прямоугольника равна?
Ответы
Автор ответа:
0
решение в скане........
Приложения:
Похожие вопросы
Предмет: Информатика,
автор: Olives
Предмет: Математика,
автор: viktoriaparaskeva060
Предмет: Математика,
автор: sasha1507
Предмет: Математика,
автор: ДанЬк0
Предмет: Литература,
автор: Loktionova1