Предмет: Математика, автор: galinacyzz

Комбинаторика

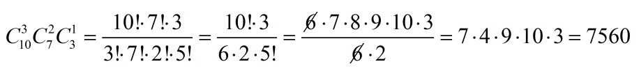
В пенале 10 красных карандашей, 7 черных и 3 простых. Сколькими способами можно образовать, чтобы было 3 красных, 2 черных и 1 простой?

Ответы

Автор ответа: justcall
1
Это формула сочетаний..

Приложения:

galinacyzz: А дальше? Мне число нужно
Похожие вопросы
Предмет: География, автор: aigerim44426
Погода и метеорологические элементы. Урок 1
Учащийся допустил ошибки в своем ответе на вопрос «Как образуются облака». Проанализируй содержание его ответа, определи ошибки.
Когда понижается температура воздуха, влажность воздуха увеличивается, что приводит к насыщению воздуха, которое называется точкой росы. Точка росы показывает минимальное количество водяных паров. Дальнейшее понижение температуры приводит к конденсации, что представляет собой процесс превращения водяного пара в жидкость. При конденсации водяной пар опускается вниз, образуя облака. Образовавшиеся облака находятся в неподвижном состоянии, состоят из мелких капелек воды или кристалликов льда. Облака по форме делятся на перистые, слоистые и кучевые. Выпадение осадков связано с кучевыми и слоистыми осадками. Из перистых облаков осадки не выпадают.
Верных ответов: 3
Точка росы – это минимальное количество водяных паров.
Перистые облака осадки не образуют.
Атмосферные осадки выпадают из кучевых и слоистых облаков.
Облака делятся на перистые, слоистые и кучевые.
Насыщение воздуха называется точкой росы.
Облака находятся в неподвижном состоянии.
При конденсации водяной пар опускается вниз, образуя облака.
Конденсация – это превращение водяного пара в жидкость.

Назад

Проверить