Предмет: Алгебра,
автор: sofyaostapenko
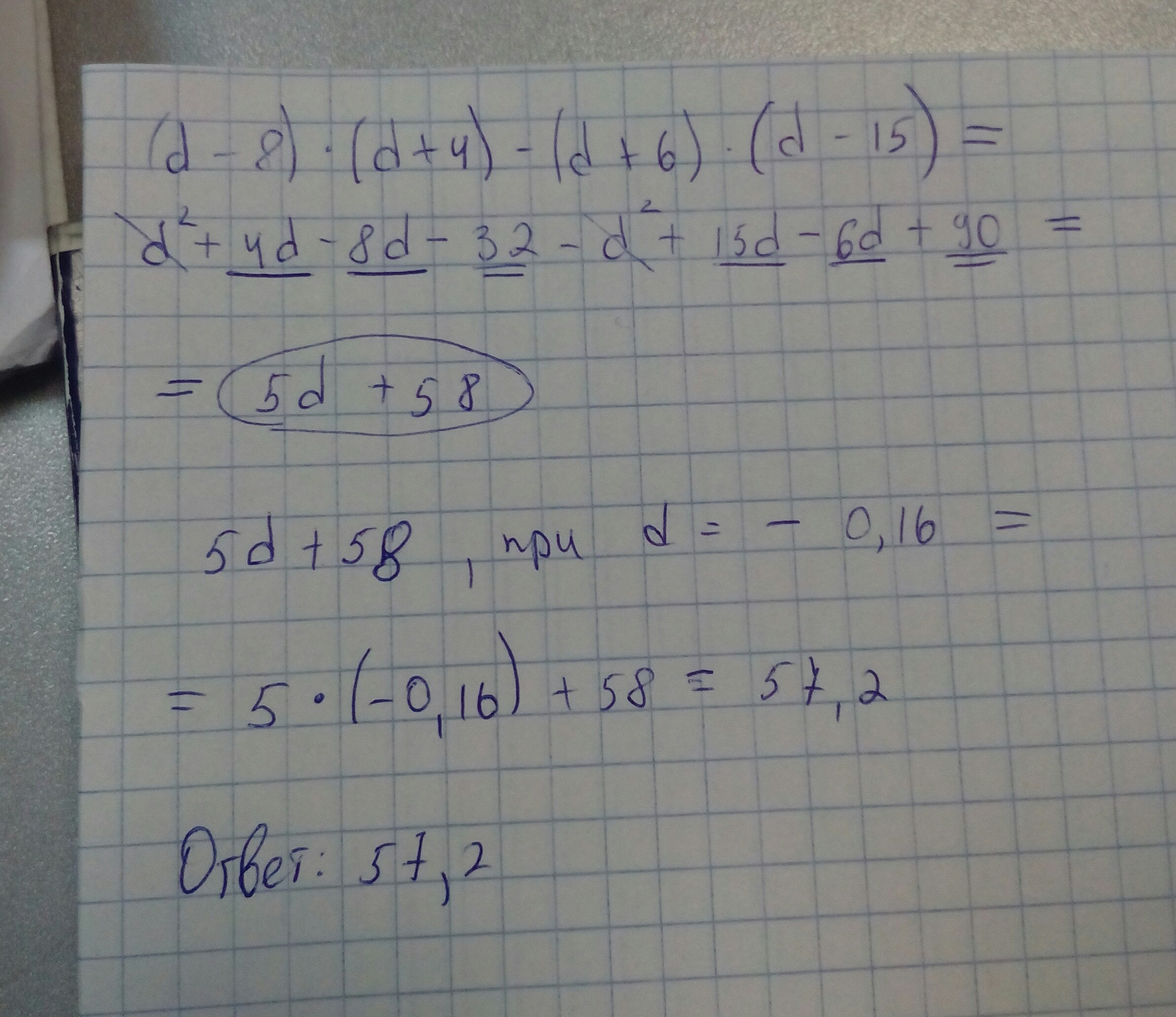
Найди значение выражения при
d=−0,16
,
предварительно упростив его
(d−8)⋅(d+4)−(d+6)⋅(d−15)
Ответы
Автор ответа:
2
Решение на фото:
Пожалуйста)
Пожалуйста)
Приложения:
sofyaostapenko:
Спасибо большое
пожалуйста:)
Похожие вопросы
Предмет: Математика,
автор: versoken79
Предмет: Математика,
автор: 96458
Предмет: Физика,
автор: sofiazaprudskaya895
Предмет: Математика,
автор: shkrobakirill