Предмет: Математика,
автор: Gifani234
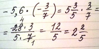
Помогите пж решить этот пример: -5,6×(-3/7)
Ответы
Автор ответа:
0
Решение в прикреплённом изображении
Приложения:
Автор ответа:
0
-5,6 * (-3/7) = 5,6 * 3/7 = 56/10 * 3/7 = 8/10 * 3/1 = 24/10=2,4
Похожие вопросы
Предмет: Русский язык,
автор: jakajakak
Предмет: Английский язык,
автор: lollagodk
Предмет: Математика,
автор: zubenkomihoilpetrovi
Предмет: История,
автор: abdull2004d
Предмет: Физика,
автор: vova200065464284685