Предмет: Математика, автор: kostyanaya2017

Помогите,пожалуйста,решить В1,A4,A5,A6

Приложения:

Ответы

Автор ответа: Аноним
1
A4.\\5^{20x+5}-1\geq0\\5^{20x+5}\geq1\\5^{20x+5}\geq5^0\\20x+5\geq0\\20x\geq-5\\x\geq-0,25\\x\in[-0,25;\;+\infty)\\\\A5.\\\begin{cases}2y-x+4=0\\5^{x-y+2}=125\end{cases}\Rightarrow\begin{cases}x=2y+4\\5^{x-y+2}=5^3\end{cases}\Rightarrow\begin{cases}x=2y+4\\x-y+2=3\end{cases}\\2y+4-y+2=3\\y+6=3\\y=-3\\\begin{cases}x=-2\\y=-3\end{cases}\\x\cdot y=(-2)\cdot(-3)=6

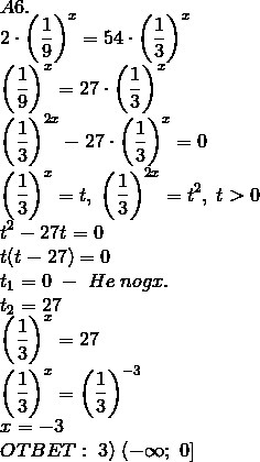
A6.\\2\cdot\left(\frac19\right)^x=54\cdot\left(\frac13\right)^x\\\left(\frac19\right)^x=27\cdot\left(\frac13\right)^x\\\left(\frac13\right)^{2x}-27\cdot\left(\frac13\right)^x=0\\\left(\frac13\right)^x=t,\;\left(\frac13\right)^{2x}=t^2,\;t>0\\t^2-27t=0\\t(t-27)=0\\t_1=0\;-\;He\;nogx.\\t_2=27\\\left(\frac13\right)^x=27\\\left(\frac13\right)^x=\left(\frac13\right)^{-3}\\x=-3\\OTBET:\;3)\;(-\infty;\;0]

B1.\\\sqrt{x-1,5}\cdot\left(2^x+8\cdot2^{-x}-6\right)=0\\O.D.3.:\;x-1,5\geq0\Rightarrow x\geq1,5\\1)\;\sqrt{x-1,5}=0\Rightarrow x_1=1,5\\2)\;2^x+8\cdot2^{-x}-6=0\\2^x+\frac8{2^x}-6=0\\2^x=t,\;t>0\\t+\frac8t-6=0\\\frac{t^2-6t+8}t=0\\t^2-6t+8=0\\D=36-4\cdot8=36-32=4\\t_{1,2}=\frac{6\pm2}2\\t_1=2,\;t_2=4\\2^x=2\Rightarrow x_2=1\;He\;nogx.\;no\;O.D.3.\\2^x=4\Rightarrow x_3=2\\\\x_1+x_3=1,5+2=3,5
Приложения:
Похожие вопросы
Предмет: Математика, автор: rusiv791