Предмет: Алгебра,
автор: Sherial
Докажите тождесвто.
1) (3x+4y)^2-(4y-3x)^2=48 xy
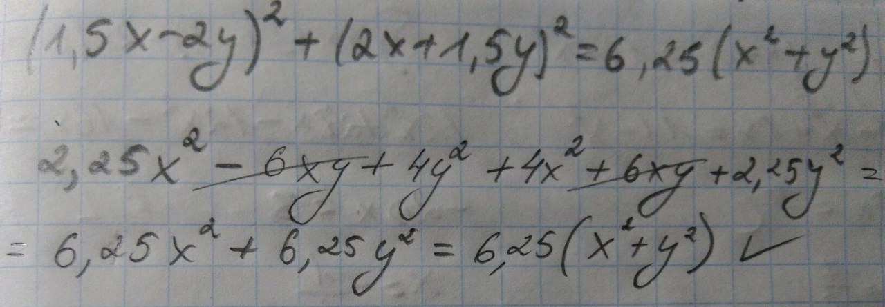
2) (1,5x-2y)^2+(2x+1,5y)^2 =6,25(x^2+y^2)
Помогите пожалуйстаа)))
Ответы
Автор ответа:
21
........................................
Приложения:
Похожие вопросы
Предмет: Математика,
автор: ulkadmitrackova
Предмет: Українська мова,
автор: katat2286
Предмет: ОБЖ,
автор: aleksandranedova808
Предмет: Математика,
автор: Verka59