Предмет: Физика,
автор: Оля284
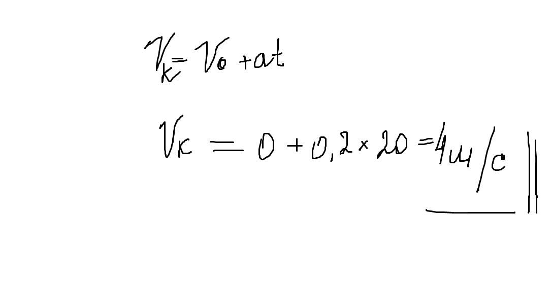
Какую скорость будет иметь тело через 20 с от начала движения . если оно движется с ускорением 0.2 м/с^2.
Ответы
Автор ответа:
0
По формуле скорости при равноускоренном движении:
Приложения:
Похожие вопросы
Предмет: Українська мова,
автор: yuliapalyuga
Предмет: Русский язык,
автор: anastasia5841
Предмет: Русский язык,
автор: jazira160190
Предмет: Математика,
автор: Pati12
Предмет: Математика,
автор: yhg