Предмет: Алгебра,
автор: диники
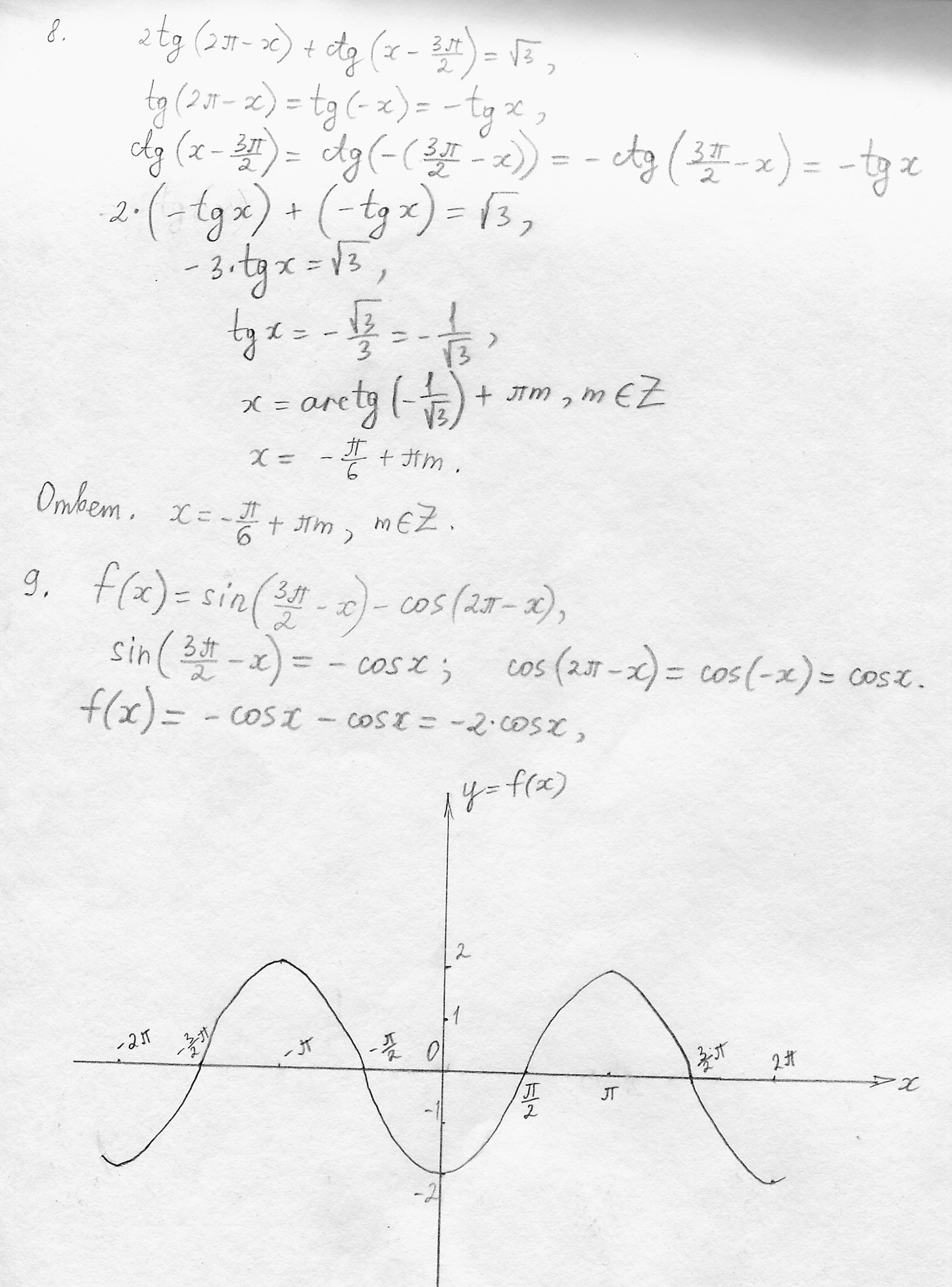
тригонометрия( формулы приведения) №8,9,10 помогите пожалуйста
Приложения:
Ответы
Автор ответа:
1
решение на двух листках ===>>
Приложения:
Похожие вопросы
Предмет: Английский язык,
автор: AufAue3000
Предмет: Литература,
автор: lizalitvinenko19
Предмет: Алгебра,
автор: nastyaab1813
Предмет: Математика,
автор: Аноним