Предмет: Алгебра,
автор: Nastya7654321
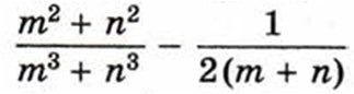
прошу решите пожалуйста
Приложения:
Ответы
Автор ответа:
0
Вот то что надо если неправильно небань
Приложения:
Автор ответа:
0
m^+n^
n^+2м^
...,,,,,,,
n^+2м^
...,,,,,,,
Похожие вопросы
Предмет: Кыргыз тили,
автор: margaritapetrovskaya
Предмет: Қазақ тiлi,
автор: katysahodina
Предмет: Оʻzbek tili,
автор: saidislomadilxayev
Предмет: Алгебра,
автор: YXADYHAXY