Предмет: Алгебра,
автор: ffhrdghyt
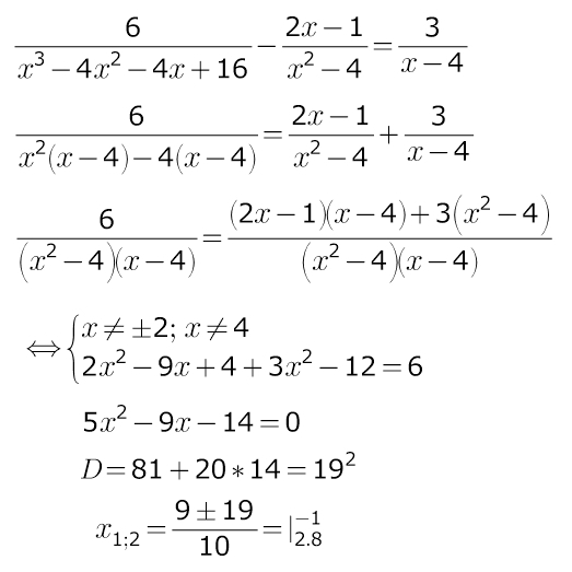
Помогите пожалуйста решить уравнение «г»)
Приложения:
Ответы
Автор ответа:
0
разложить знаменатель на множители (сгруппировав)
Приложения:
Похожие вопросы
Предмет: Биология,
автор: Kqrule
Предмет: Русский язык,
автор: mashhaa9
Предмет: Математика,
автор: vladfirsov227
Предмет: География,
автор: ольга772
Предмет: Математика,
автор: Kokos2166